CIRCULAR 4 DE 2018
(febrero 28)
Diario Oficial No. 50.522 de 01 de marzo de 2018
MINISTERIO DE SALUD Y PROTECCIÓN SOCIAL
COMISIÓN NACIONAL DE PRECIOS DE MEDICAMENTOS Y DISPOSITIVOS MÉDICOS
<NOTA DE VIGENCIA: Circular derogada a partir del 1o. de enero de 2019, por el artículo 15 de la Circular 7 de 2018>
Por la cual se modifica la Circular número 03 de 2017.
LA COMISIÓN NACIONAL DE PRECIOS DE MEDICAMENTOS Y DISPOSITIVOS MÉDICOS,
en ejercicio de sus facultades legales, en especial, de las conferidas por el artículo 245 de la Ley 100 de 1993, el artículo 87 de la Ley 1438 de 2011, el artículo 72 de la Ley 1753 de 2015 y el Decreto número 705 de 2016, y
CONSIDERANDO:
Que la Comisión expidió la Circular número 03 de 2017, mediante la cual incorporó unos medicamentos al régimen de control directo, les fijó su precio máximo de venta y dictó otras disposiciones;
Que posteriormente a la publicación de la Circular número 03 de 2017, algunos interesados allegaron a la Secretaría Técnica de la Comisión, comentarios específicos y solicitudes de correcciones de errores;
Que así mismo, dados los comentarios sobre la tabla del artículo 7o de la Circular número 03 de 2017, que traía la información de la Circular número 04 de 2012, la Secretearía Técnica procedió a hacer una revisión completa de las descripciones allí incluidas y detectó inconsistencias en comparación con la información de los registros sanitarios expedidos por el Invima;
Que varios de esos comentarios tienen que ver con las combinaciones de medicamentos;
Que en consecuencia se hace necesario aclarar que, cuando los principios activos que componen la combinación están presentes en la misma proporción en todas las presentaciones comerciales del mercado relevante, para facilitar la aplicación de los precios máximo de venta la unidad de regulación corresponde a la unidad mínima de dispensación. A su vez, los precios de referencia internacional utilizados tienen la misma relación de combinaciones que la unidad de dispensación regulada;
Que, por el contrario, cuando los principios activos que componen la combinación están presentes en distintas proporciones en las presentaciones comerciales que componen el mercado relevante, la unidad de regulación corresponde a la unidad mínima de concentración de un principio activo respectivamente señalado;
Que una descripción pormenorizada de los comentarios y cambios realizados se encuentra publicada en la página web del Ministerio de Salud y Protección Social;
Que en la referenciación del ID MERCADO RELEVANTE 94 listado en el artículo 3o de la Circular número 03 de 2017 se incluyeron las presentaciones comerciales que no tienen aplicador electrónico, pero en Colombia solo se comercializa la presentación comercial con aplicador electrónico. Por lo tanto la referenciación debió corregirse, excluyendo las presentaciones comerciales sin aplicador. Esto modificó el PRI;
Que los CUM 53896-1, 53896-2, 53896-3 y 53896-4 pertenecientes al ID MERCADO RELEVANTE 110 listados en el artículo 4o de la Circular número 03 de 2017 fueron incluidos con el precio de la Circular número 01 de 2017 a pesar de haber sido referenciados internacionalmente para actualizar su precio a partir de la metodología de la Circular número 03 de 2013. Por lo tanto, estos medicamentos deben ser trasladados a la tabla de los medicamentos cuyo precio fue actualizado en la Circular número 03 de 2017 y a su vez, su precio debe ser actualizado de acuerdo con la nueva referenciación del ID MERCADO RELEVANTE 110;
En mérito de lo expuesto,
RESUELVE:
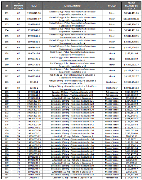
ARTÍCULO 1o. MODIFICACIÓN DEL ARTÍCULO 1o DE LA CIRCULAR NÚMERO 03 DE 2017. <Circular derogada a partir del 1o. de enero de 2019, por el artículo 15 de la Circular 7 de 2018> Modifíquese la tabla del artículo 1o de la Circular número 03 de 2017, la cual quedará así.
Se aclara que las modificaciones corresponden a los ID MERCADO RELEVANTE 181, 184, 203 y 388 de la Circular número 03 de 2017.







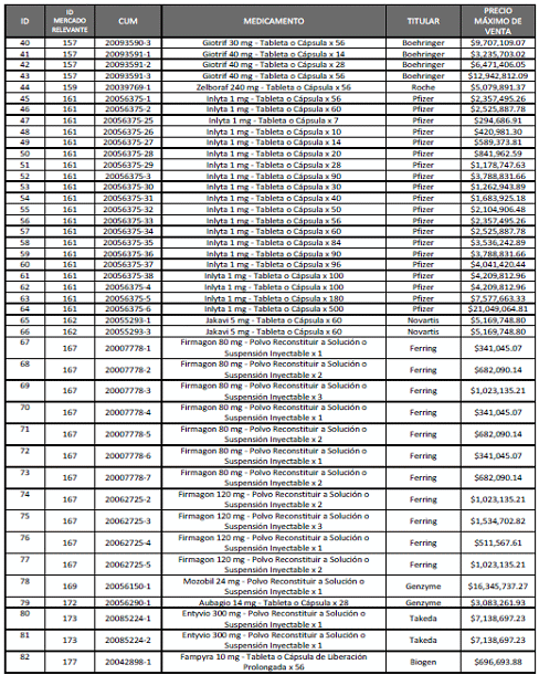
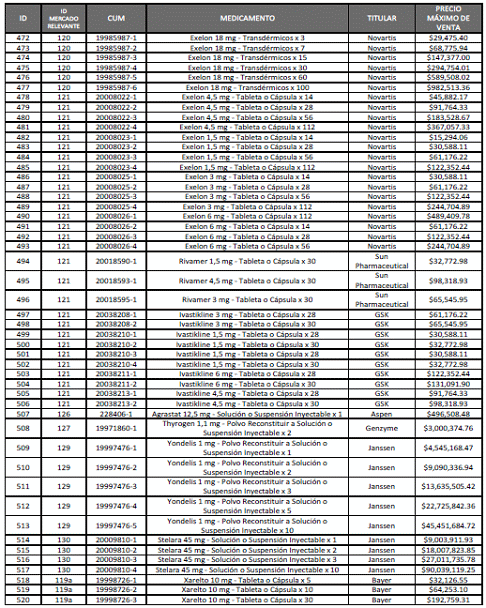
ARTÍCULO 2o. MODIFICACIÓN DEL ARTÍCULO 3° DE LA CIRCULAR NÚMERO 03 DE 2017. <Circular derogada a partir del 1o. de enero de 2019, por el artículo 15 de la Circular 7 de 2018> Modifíquese la tabla del artículo 3o de la Circular número 03 de 2017, la cual quedará así. Se aclara que las modificaciones corresponden a los ID MERCADO RELEVANTE 94, 107, 49, 110 y 121 de la Circular número 03 de 2017.














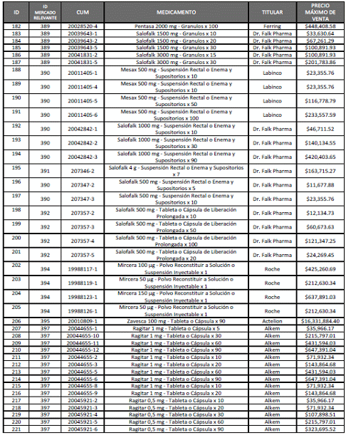
ARTÍCULO 3o. MODIFICACIÓN DEL ARTÍCULO 4° DE LA CIRCULAR NÚMERO 03 DE 2017. <Circular derogada a partir del 1o. de enero de 2019, por el artículo 15 de la Circular 7 de 2018> Modifíquense la tabla del artículo 4o de la Circular número 03 de 2017, la cual quedará así. Se aclara que se eliminaron los ID MERCADO RELEVANTE 82 y 110 de la Circular número 03 de 2017.






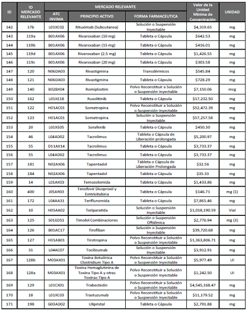
ARTÍCULO 4o. MODIFICACIÓN DEL ARTÍCULO 5° DE LA CIRCULAR NÚMERO 03 DE 2017. <Circular derogada a partir del 1o. de enero de 2019, por el artículo 15 de la Circular 7 de 2018> El artículo 5o de la Circular número 03 de 2017, quedará así.
“Artículo 5o. Valor de la unidad mínima de concentración y presentaciones no reguladas de mercados relevantes sometidos a la metodología de la Circular número 03 de 2013. La Comisión establece a continuación el valor por unidad mínima de concentración para todos los mercados relevantes o subconjuntos de los mismos, que a la fecha han sido sometidos a la metodología de la Circular número 03 de 2013. Lo anterior para efectos del monitoreo constante de los precios de los medicamentos.
Si se observa que los precios de presentaciones comerciales no sometidas a control directo o nuevas presentaciones de medicamentos que conforman los mercados relevantes regulados en la presente Circular, es superior al valor de la unidad mínima de concentración aquí publicada, la Comisión adoptará, en el marco de sus competencias, las medidas que sean del caso, con el fin de controlar prácticas que reduzcan los efectos de la regulación en los ahorros.
En el caso de los medicamentos del plan de beneficios con cargo a la Unidad de Pago por Capitación (UPC), los precios enunciados no constituyen un precio máximo de venta regulado, sino un precio de referencia para el mercado.
En el caso de los medicamentos del plan de beneficios sin cargo a la UPC, el precio de referencia enunciado constituye un precio máximo de venta regulado para las operaciones realizadas con o con recursos públicos o canal institucional”.
Se aclara que las modificaciones corresponden a los ID MERCADO RELEVANTE 2, 55, 94, 150, 181, 184, 189, 203 y 388 de la Circular número 03 de 2017.







(1) Precio por cantidad de “Emtricitabina”
(2) Precio por cantidad de “Saxagliptina”
(3) Precio por cantidad de “Timolol”
(4) Precio por UI de Factor VIII
(5) Precio por UI de Factor Von Willebrand
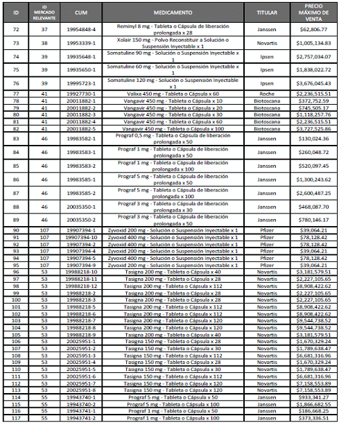
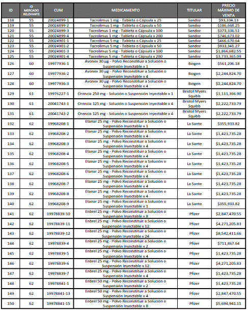
ARTÍCULO 5o. MODIFICACIÓN DEL ARTÍCULO 7° DE LA CIRCULAR NÚMERO 03 DE 2017. <Circular derogada a partir del 1o. de enero de 2019, por el artículo 15 de la Circular 7 de 2018> El artículo 7o de la Circular número 03 de 2017, quedará así.
“Artículo 7o. Precio máximo de venta de los medicamentos regulados en la Circular número 04 de 2012. A continuación se señala el precio máximo de venta de la unidad mínima de concentración de los mercados relevantes que continúan regulados de acuerdo con lo establecido en la Circular número 04 de 2012. Este precio incluye un margen del 12% asociado a los costos de adecuación, dispensación y administración.
Este precio máximo de venta por unidad mínima de los principios activos listados a continuación y su correspondiente precio por presentación comercial aplicará a todas las operaciones de compra y venta de medicamentos financiadas con recursos del Sistema General de Seguridad Social en Salud, entre las cuales se incluye el reconocimiento y pago de medicamentos del Plan de Beneficios en Salud sin cargo a la UPC”.
Se aclara que las modificaciones corresponden a los ID MERCADO RELEVANTE 5, 521, 522, 417, 567, 543, 447, 474, 519, 467, 510, 496, 406, 407, 482, 536, 537, 538, 544, 550, 493, 500, 528 y 545 de la Circular número 03 de 2017. Adicionalmente, se incluyeron los ID MERCADO RELEVANTE 574, 573, 554, 552, 555, y 568 y se eliminaron los el ID MERCADO RELEVANTE 484, 497, 462, 469 y 502.




(1) Precio por cantidad de “Atorvastatina”
ARTÍCULO 6o. REGULACIÓN DE PRESENTACIONES COMERCIALES TABLETA O CÁPSULA. <Circular derogada a partir del 1o. de enero de 2019, por el artículo 15 de la Circular 7 de 2018> Si la descripción de forma farmacéutica de un mercado relevante es “Tableta o Cápsula” y no existe un mercado relevante adicional con el mismo principio activo y una forma farmacéutica “Tableta o Cápsula de Liberación Prolongada” o “Tableta o Cápsula de Liberación Modificada”, se entenderá que en el valor para el mercado relevante con forma farmacéutica “Tableta o Cápsula” aplicará para aquellas presentaciones que modifiquen o no la liberación del fármaco.
ARTÍCULO 7o. MARGEN ADICIONAL PARA LAS INSTITUCIONES PRESTADORAS DE SERVICIOS DE SALUD (IPS). <Circular derogada a partir del 1o. de enero de 2019, por el artículo 15 de la Circular 7 de 2018> Las IPS podrán incrementar el precio regulado en los artículos 1o, 2o, 3o y 4o de la presente circular, de la siguiente manera:
- Para las presentaciones comerciales con valor menor o igual a $1.000.000, podrán adicionar un porcentaje hasta del 7%.
- Para las presentaciones comerciales con valor mayor a $1.000.000, podrán adicionar un porcentaje hasta del 3.5%.
Este margen es exclusivamente para reconocer el valor que las IPS agregan a la cadena de distribución de los medicamentos.
La Comisión observará con especial cuidado el comportamiento de los precios de los medicamentos regulados y adoptará, en el marco de sus competencias, las medidas que sean del caso, con el fin de asegurar que, de adicionarse, se haga exclusivamente por parte de las IPS.
PARÁGRAFO. Los medicamentos contenidos en la tabla del artículo 5o de la presente Circular ya incorporan un margen asociado a los costos de adecuación, dispensación y administración del 12%, por lo tanto, los precios allí listados no podrán ser incrementados.
ARTÍCULO 8o. MODIFICACIÓN DEL ARTÍCULO 12 DE LA CIRCULAR NÚMERO 03 DE 2017. <Circular derogada a partir del 1o. de enero de 2019, por el artículo 15 de la Circular 7 de 2018> El artículo 12 de la Circular número 03 de 2017, quedará así:
“Artículo 12. Vigencia y derogatorias. La presente circular rige a partir del 1 de marzo de 2018 y deroga la Circular número 04 de 2012 y todas las disposiciones que le sean contrarias.
PARÁGRAFO. Los mercados ID de mercado relevante 5, 49, 55, 82, 94, 107, 110, 121, 150, 165, 181, 184, 189, 203, 388, 406, 407, 417, 447, 467, 474, 482, 493, 496, 500, 510, 519, 521, 522, 528, 536, 537, 538, 543, 544, 545, 546, 550, 552, 554, 555, 567, 568, 573 y 574 que incluyen modificaciones en la Circular número 04 de 2018 rigen a partir del 2 de abril de 2018”.
ARTÍCULO 9o. VIGENCIA. La presente circular rige a partir del 1 de marzo de 2018.
Publíquese y cúmplase.
Dado en Bogotá, D. C., a 28 de febrero de 2018.
El Ministro de Salud y Protección Social,
Alejandro Gaviria Uribe.
La Ministra de Comercio, Industria y Turismo,
María Lorena Gutiérrez Botero.
La Delegada del Presidente de la República,
Aura María Londoño Sánchez.