CIRCULAR 3 DE 2017
(diciembre 22)
Diario Oficial No. 50.458 de 26 de diciembre de 2017
COMISIÓN NACIONAL DE PRECIOS DE MEDICAMENTOS Y DISPOSITIVOS MÉDICOS
<NOTA DE VIGENCIA: Circular derogada a partir del 1o. de enero de 2019, por el artículo 15 de la Circular 7 de 2018>
Por la cual se incorporan unos medicamentos al régimen de control directo con fundamento en la metodología de la Circular número 03 de 2013 de la Comisión Nacional de Precios de Medicamentos y Dispositivos Médicos, se fija su Precio Máximo de Venta y se dictan otras disposiciones.
LA COMISIÓN NACIONAL DE PRECIOS DE MEDICAMENTOS Y DISPOSITIVOS MÉDICOS,
en ejercicio de sus facultades legales, en especial, de las conferidas por el artículo 245 de la Ley 100 de 1993, el artículo 87 de la Ley 1438 de 2011, el artículo 72 de la Ley 1753 de 2015 y el Decreto número 705 de 2016, y
CONSIDERANDO:
Que el artículo 245 de la Ley 100 de 1993 y el artículo 87 de la Ley 1438 de 2011 confirieron a la Comisión Nacional de Precios de Medicamentos y Dispositivos Médicos (en adelante la Comisión) la potestad de regular los precios de los medicamentos;
Que el Decreto número 705 de 2016, reglamentó el artículo 72 de la Ley 1753 de 2015, y delegó en la Comisión la definición de la metodología y los mecanismos para la regulación de precios de medicamentos, así como la regulación de los márgenes de distribución y comercialización de los mismos;
Que la Política Farmacéutica Nacional, expedida mediante el Documento CONPES Social número 155 del 30 de agosto de 2012, orientó a la Comisión para desarrollar una política de precios de medicamentos tendiente a detectar y resolver las distorsiones del mercado;
Que la Comisión expidió la Circular número 03 de 2013 mediante la cual estableció la metodología para la aplicación del régimen de control directo de precios de los medicamentos que se comercialicen en el país;
Que la Comisión identificó al menos 1.896 presentaciones comerciales de medicamentos que no registraban reportes a nivel de ventas del productor o importador en el SISMED, durante el periodo de referencia, por lo que procedió a otorgar un tiempo extraordinario de reporte al SISMED entre el 6 y el 21 de junio de 2017. Una vez surtido dicho periodo, decidió emplear el precio reportado por los distribuidores mayoristas como fuente de información y en caso de no obtener información en este punto de la cadena, optar por calcular el precio de venta en Colombia a partir de los datos observados por expedientes que comparten las mismas características del medicamento de interés usando dicha fuente para efectos regulatorios;
Que se dispuso a consulta pública el proyecto de circular y la información requerida para obtener los precios contenidos en ese borrador, en la página web del Ministerio de Salud y Protección Social entre el 5 y el 20 junio, 18 y 28 de agosto, 13 y 20 de octubre. Entre el 9 y 16 de noviembre de 2017 publicó, para consulta pública, la ficha con los cálculos del precio de Keytruda;
Que se recibieron comentarios, cuyas respuestas están publicadas en la página web del Ministerio de Salud y Protección Social, las cuales explican varias de las diferencias entre los borradores y la presente circular;
Que los soportes técnicos utilizados para el cálculo de los precios máximos de venta señalados en la presente circular, se encuentran publicados y disponibles en la página web del Ministerio de Salud y Protección Social;
Que la Comisión ha reconocido márgenes adicionales, exclusivamente para reconocer el valor que las IPS agregan a la cadena de distribución de los medicamentos incorporados al régimen de control directo;
Que la Comisión considera oportuno evitar la limitación del efecto de la regulación sobre los ahorros para el sistema de salud a partir del uso de presentaciones comerciales no reguladas o de incorporación de nuevas presentaciones comerciales;
Que la regulación CUM implica que diversas presentaciones comerciales de un mismo producto puedan tener diferentes precios regulados;
Que en mercados relevantes no sometidos a regulación se han observado al final de la cadena dispersiones de precios debidas, especialmente, a los márgenes de intermediación;
Que para enfrentar estas dos situaciones es deseable establecer, para los medicamentos del plan de beneficios que no se pagan con cargo a la UPC, un precio regulado para la unidad mínima de concentración de todo el mercado relevante. Esto, adicionalmente, genera una mayor claridad en el proceso de reconocimiento y pago por parte de ADRES;
Que adicionalmente, los artículos 4o y 7o de la presente circular transcriben los precios de los medicamentos aún regulados conforme la Circular número 01 de 2017 y Circular número 04 de 2012, respectivamente, con el fin de facilitar a los agentes del mercado el cumplimiento de la regulación de control de precios;
Que en aplicación de la metodología de la Circular número 03 de 2013 se encontraron algunos mercados relevantes regulados previamente por la Circular número 04 de 2012 bajo grado de concentración y que ya se encuentran incluidos en el plan de beneficios con cargo a la UPC, por lo cual deben excluirse de regulación;
Que la Comisión consideró necesario mantener regulados los mercados con elevada concentración, medida conforme el artículo 5o de la Circular número 03 de 2013, incluso si sus Precios de Referencia Nacional (PRN) no superan el Precio de Referencia Internacional (PRI). Lo anterior ya que, en primer lugar, su elevada concentración indica que aún son mercados donde la intervención de precios es deseable por la existencia de una falla de mercado derivada de la limitada competencia. En segundo lugar, se ha identificado dispersión en los precios observados en mercados no regulados. En tercer lugar, porque se identificó que en un porcentaje relevante de los agentes de mercado se encuentran transando a precios iguales o cercanos al precio de regulación, indicando ello que la razón por la cual su PRN resulta inferior al PRI, es, precisamente, la existencia de dicha regulación;
Que el ciclo sugerido en el artículo 27 de la Circular número 03 de 2013 de publicar los precios regulados en octubre, para una entrada en vigencia en enero siguiente, no responde a la realidad operativa y a la necesidad de contención del gasto público. La regla general hasta el momento han sido periodos amplios de consulta, seguidos de la regulación de precios y el otorgamiento de plazos razonables para la entrada en vigencia. Cierto es también, que la Comisión tiene la potestad de regular los precios del mercado cada vez que lo considere pertinente y con el fin de contribuir a la sostenibilidad Sistema General de Seguridad Social, principio también contenido en el artículo 27 citado;
Que, por su parte, el artículo 6o de la Circular número 03 de 2013 establece que la Comisión aplicará la metodología por lo menos una vez al año;
En mérito de lo expuesto,
RESUELVE:
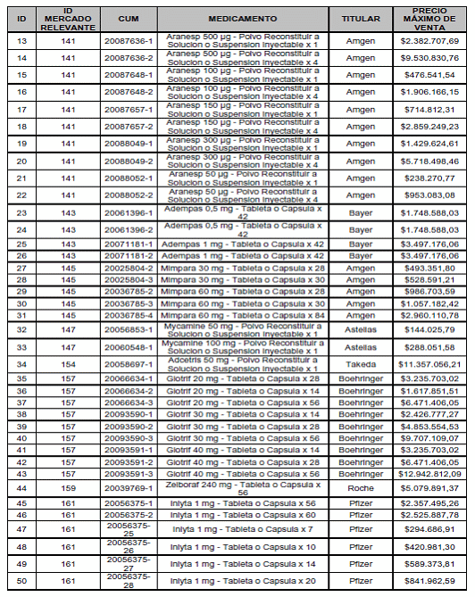
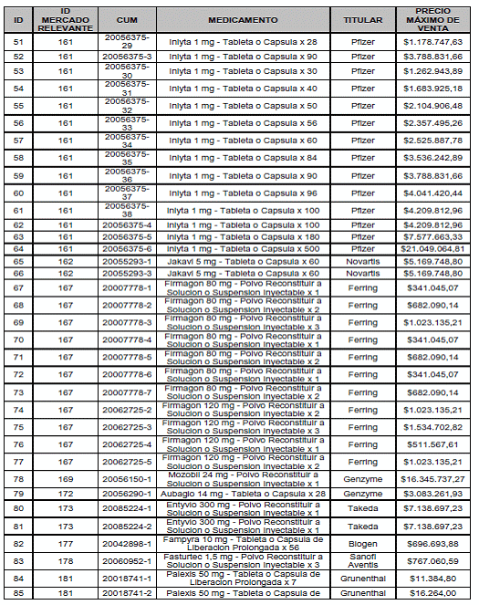
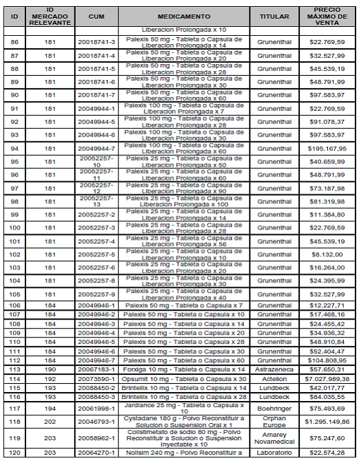
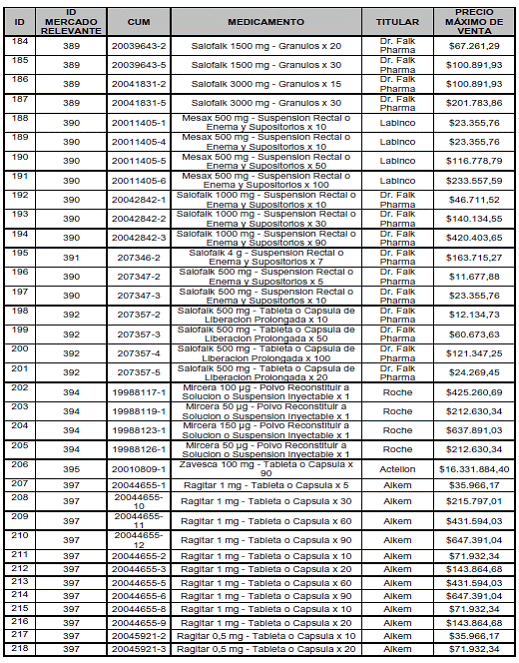
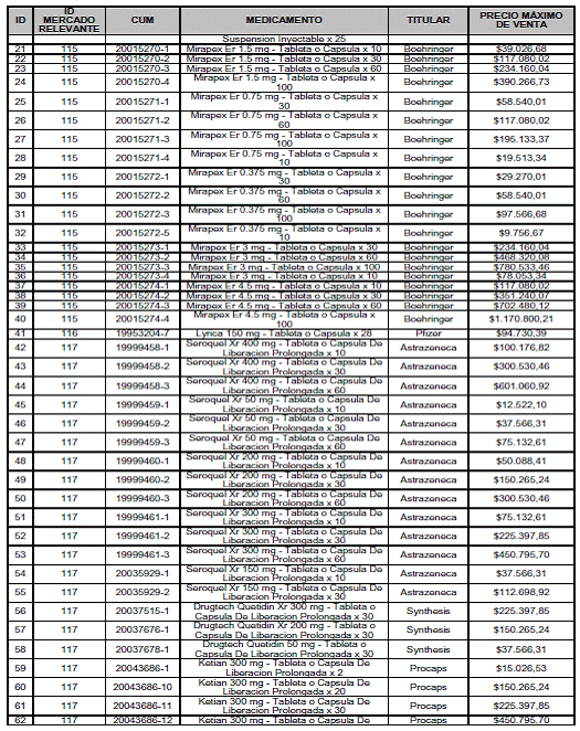
ARTÍCULO 1o. INCORPORACIÓN DE MEDICAMENTOS A CONTROL DIRECTO. <Circular derogada a partir del 1o. de enero de 2019, por el artículo 15 de la Circular 7 de 2018> <Consultar el artículo 1 de la Circular 4 de 2018 mediante la cual se modifica este artículo. EL TEXTO ORIGINAL ES EL SIGUIENTE:> Incorpórense al régimen de control directo de precios, los medicamentos que se relacionan a continuación. El precio máximo de venta en el nivel mayorista será el respectivamente señalado:








ARTICULO 2o. TRANSPARENCIA EN EL FACTOR DE AJUSTE PROMEDIO. <Circular derogada a partir del 1o. de enero de 2019, por el artículo 15 de la Circular 7 de 2018> El precio máximo de venta contempla los factores de ajuste asociados. En todo caso, para conocimiento y fines de transparencia para todos los agentes de la cadena, la Comisión hace expreso que el factor de ajuste promedio observado en los países de referencia entre el punto ex fábrica y el punto mayorista, para los medicamentos regulados en el artículo 1 de la presente circular es de 7,52%.
ARTÍCULO 3. ACTUALIZACIÓN DE LOS PRECIOS MÁXIMOS DE VENTA DE ALGUNOS MEDICAMENTOS. <Circular derogada a partir del 1o. de enero de 2019, por el artículo 15 de la Circular 7 de 2018> Actualícense los precios máximos de venta de los siguientes medicamentos que ya habían sido incorporados al régimen de control directo en anteriores Circulares de la Comisión. La actualización sometiendo a esos medicamentos a una segunda referenciación internacional de precios. El precio máximo de venta en el nivel mayorista será el respectivamente señalado.













PARÁGRAFO. El precio máximo de venta del mercado relevante Toxina Botulínica, solo aplicará para su uso terapéutico. Cualquier uso de estos medicamentos en el canal institucional se entenderá como terapéutico y no podrá exceder el precio regulado. En el canal comercial, el precio regulado aplicará solo para el uso terapéutico.
ARTÍCULO 4. PRECIO MÁXIMO DE VENTA DE OTROS MEDICAMENTOS REGULADOS MEDIANTE LA METODOLOGÍA DE LA CIRCULAR 03 DE 2013. <Circular derogada a partir del 1o. de enero de 2019, por el artículo 15 de la Circular 7 de 2018> A continuación se señala el precio máximo de venta del resto de medicamentos sometidos a la metodología de referenciación internacional de la Circular 03 de 2013 y contenidos en la Circular 1 de 2017, cuyo precio no fue actualizado mediante un nuevo ejercicio de referenciación.







ARTÍCULO 5o. VALOR DE LA UNIDAD MÍNIMA DE CONCENTRACIÓN Y PRESENTACIONES NO REGULADAS DE MERCADOS RELEVANTES SOMETIDOS A LA METODOLOGÍA DE LA CIRCULAR 03 DE 2013. <Circular derogada a partir del 1o. de enero de 2019, por el artículo 15 de la Circular 7 de 2018> La Comisión establece a continuación el valor por unidad mínima de concentración para todos los mercados relevantes o subconjuntos de los mismos, que a la fecha han sido sometidos a la metodología de la Circular 03 de 2013. Lo anterior para efectos del monitoreo constante de los precios de los medicamentos.
Si se observa que los precios de presentaciones comerciales no sometidas a control directo o nuevas presentaciones de medicamentos que conforman los mercados relevantes regulados en la presente Circular, es superior al valor de la unidad mínima de concentración aquí publicada, la Comisión adoptará, en el marco de sus competencias, las medidas que sean del caso, con el fin de controlar prácticas que reduzcan los efectos de la regulación en los ahorros.
En el caso de los medicamentos del plan de beneficios con cargo a la unidad de pago por capitación, los precios enunciados no constituyen un precio máximo de venta regulado, sino un precio de referencia para el mercado.
En el caso de los medicamentos sujetos al reconocimiento y pago por parte de ADRES, el precio de referencia enunciado constituye un precio máximo de venta regulado.







ARTÍCULO 6o. MARGEN ADICIONAL PARA LAS INSTITUCIONES PRESTADORAS DE SERVICIOS DE SALUD IPS. <Circular derogada a partir del 1o. de enero de 2019, por el artículo 15 de la Circular 7 de 2018> Las IPS podrán incrementar el precio regulado en los artículos 1, 3, 4 y 5 de la presente circular, de la siguiente manera:
- Para las presentaciones comerciales con valor menor o igual a $1.000.000, podrán adicionar un porcentaje hasta del 7%.
- Para las presentaciones comerciales con valor mayor a $1.000.000, podrán adicionar un porcentaje hasta del 3.5%.
Este margen es exclusivamente para reconocer el valor que las IPS agregan a la cadena de distribución de los medicamentos.
La Comisión observará con especial cuidado el comportamiento de los precios de los medicamentos regulados y adoptará, en el marco de sus competencias, las medidas que sean del caso, con el fin de asegurar que, de adicionarse, se haga exclusivamente por parte de las IPS.
ARTICULO 7o. PRECIO MÁXIMO DE VENTA DE LOS MEDICAMENTOS REGULADOS EN APLICACIÓN DE METODOLOGÍAS DISTINTAS A LA DE REFERENACIÓN INTERNACIONAL DE PRECIOS. <Circular derogada a partir del 1o. de enero de 2019, por el artículo 15 de la Circular 7 de 2018> A continuación se señala el precio máximo de venta de la unidad mínima de concentración de los mercados relevantes que continúan estando regulados de acuerdo con los valores establecidos en la Circular 04 de 2012. Dichos mercados relevantes todavía no han sido sometidos a la metodología de referenciación internacional de precios de la Circular 03 de 2013.





ARTÍCULO 8o. NO INCREMENTO DEL PRECIO REGULADO POR INTERMEDIACIÓN. <Circular derogada a partir del 1o. de enero de 2019, por el artículo 15 de la Circular 7 de 2018> El precio regulado es el precio máximo posible para realizar transacciones en la cadena, excepto en lo relativo a las consideraciones para el canal comercial establecidas en el artículo 20 de la Circular número 03 de 2013 y en el artículo 6o de la presente circular. Por lo tanto, ningún actor de la cadena del canal institucional, ni ninguna venta al por mayor en el canal comercial, podrán sobrepasar el precio regulado en sus transacciones.
Sin perjuicio de la libertad de precios para farmacias-droguerías y droguerías, la Comisión observará el comportamiento de los precios, con el fin de garantizar que las reducciones se trasladen al consumidor final.
ARTÍCULO 9o. REGÍMENES ESPECIALES. <Circular derogada a partir del 1o. de enero de 2019, por el artículo 15 de la Circular 7 de 2018> De acuerdo con lo previsto en el artículo 15 de la Circular número 03 de 2013, la presente circular aplica también para los regímenes especiales. Por esta razón, los actores de dichos regímenes estarán sujetos a la obligación de reporte de transacciones a SISMED, de acuerdo con la normativa vigente.
ARTÍCULO 10. SANCIONES POR INCUMPLIMIENTO AL RÉGIMEN DE CONTROL DE PRECIOS. <Circular derogada a partir del 1o. de enero de 2019, por el artículo 15 de la Circular 7 de 2018> En virtud de lo dispuesto por el artículo 132 de la Ley 1438 de 2011, la Superintendencia de Industria y Comercio sancionará las infracciones al régimen de control de precios de medicamentos, que se incluyan en control directo en la presente circular o que continúen en dicho control en virtud de anteriores circulares.
ARTÍCULO 11. AUMENTOS INJUSTIFICADOS DE PRECIOS DE MEDICAMENTOS NO REGULADOS. <Circular derogada a partir del 1o. de enero de 2019, por el artículo 15 de la Circular 7 de 2018> Los medicamentos de un mercado relevante regulado cuyo precio de venta en Colombia no supere el PRI, podrán ser sometidos a control directo a un precio inferior al PRI si presentan aumentos injustificados de precio superiores a la variación del IPC, según lo establecido en el artículo 19.b.ii de la Circular número 03 de 2013.
ARTÍCULO 12. VIGENCIA Y DEROGATORIAS. <Circular derogada a partir del 1o. de enero de 2019, por el artículo 15 de la Circular 7 de 2018> La presente circular rige a partir del 1o marzo de 2018 y deroga la Circular número 04 de 2012 y todas las disposiciones que le sean contrarias.
Publíquese y cúmplase.
Dada en Bogotá, D. C., a 22 de diciembre de 2017.
El Ministro de Salud y Protección Social,
Alejandro Gaviria Uribe.
La Ministra de Comercio, Industria y Turismo,
María Lorena Gutiérrez Botero.
La Delegada del Presidente de la República,
Aura María Londoño Sánchez.