RESOLUCIÓN 4566 DE 2016
(Noviembre 4)
<Archivo entidad emisora, no publicada en el Diario Oficial>
MINISTERIO DEL TRABAJO
Por la cual se crea el Programa “Estado Joven” de incentivos para las prácticas laborales y judicatura en el sector público, se establecen las condiciones para su puesta en marcha y se dictan otras disposiciones.
LA MINISTRA DEL TRABAJO,
en uso de sus atribuciones legales y reglamentarias, en particular las consagradas en el artículo 13 de la Ley 1780 de 2016, los numerales 1º, 6º y 16 del artículo 6º del Decreto 4108 de 2011 y los artículos 2.2.6.1.7.3 y 2.2.6.1.7.7 del Decreto 1072 de 2015, en desarrollo de la sección 7 del capítulo 1 del título 6 de la parte 2 del libro 2 del Decreto 1072 de 2015, y
CONSIDERANDO:
Que el inciso 1º de artículo 13 de la Ley 1780 de 2016 dispone que “El Gobierno Nacional, a través del Ministerio del Trabajo y el Departamento Administrativo de la Función Pública, desarrollará y reglamentará una política que incentive, fomente y coordine los programas de jóvenes talentos, orientados a que jóvenes sin experiencia puedan realizar prácticas laborales, judicatura y relación docencia de servicio en el área de la salud, en las entidades públicas, las cuales contarán como experiencia para el acceso al servicio público”.
Que el parágrafo 3º del precitado artículo señala que “A través del mecanismo de protección al cesante y con cargo al Fosfec, podrá financiarse práctica laboral, judicatura y relación docencia de servicio en el área de la salud como mecanismo para que los jóvenes adquieran experiencia laboral relacionada a su campo de estudio”.
Que de acuerdo con lo prescrito en el artículo 2º de la Ley 1636 de 2013 el Fondo de Solidaridad de Fomento al Empleo y Protección al Cesante, Fosfec, es uno de los componentes del mecanismo de protección al cesante.
Que de conformidad con lo señalado en el artículo 15 de la Ley 1780 de 2016, las prácticas laborales son “una actividad formativa desarrollada por un estudiante de programas de formación complementaria ofrecidos por las escuelas normales superiores y educación superior de pregrado, durante un tiempo determinado, en un ambiente laboral real, con supervisión y sobre asuntos relacionados con su área de estudio o desempeño y su tipo de formación; para el cumplimiento de un requisito para culminar sus estudios u obtener un título que lo acreditará para el desempeño laboral. Por tratarse de una actividad formativa, la práctica laboral no constituye relación de trabajo.
Que mediante el Decreto 1376 de 2016, se adicionó al capítulo 1º del título 6º de la parte 2 del libro 2º del Decreto 1072 de 2015, la sección 7, que reglamenta la financiación de práctica laboral, judicatura y relación docencia de servicio en el área de la salud, para adquirir experiencia laboral, en el marco de lo establecido por el parágrafo 3º señalado en el segundo considerando de este decreto.
Que mediante el Decreto 1669 de 2016, se adicionaron unos artículos a la sección 7 del capítulo 1º del título 6 de la parte 2 del libro 2 del Decreto 1072 de 2015, que reglamenta la seguridad social de los estudiantes que hagan parte de los programas de incentivo para las prácticas laborales y judicatura en el sector público.
Que el artículo 2.2.6.1.3.15 del Decreto 1072 de 2015 establece que el Ministerio del Trabajo definirá los criterios para efectuar el proceso de compensación entre cajas y los giros a que haya lugar, de los recursos correspondientes a los servicios asociados al mecanismo de protección al cesante.
Que el parágrafo 1º del artículo 2.2.6.1.7.3 del Decreto 1072 de 2015 estableció que el “Ministerio del Trabajo definirá, mediante resolución debidamente motivada, los programas, las condiciones y los criterios de priorización y focalización de los mismos, para promover escenarios de práctica laboral en entidades públicas, que se impulsarán con los recursos del Fondo de Solidaridad de Fomento al Empleo y Protección al Cesante, Fosfec, administrados por las cajas de compensación familiar (...)”.
Que se hace necesario crear un programa de incentivos para las prácticas laborales en el sector público y establecer las condiciones para su funcionamiento, como instrumento para la recolección de información y verificación de la efectividad de la operación de las prácticas laborales en el sector público, en el marco de lo establecido por la Ley 1780 de 2016.
Que en virtud de lo expuesto,
RESUELVE:
ARTÍCULO 1o. CREACIÓN DE “ESTADO JOVEN”, PROGRAMA DE INCENTIVOS PARA LAS PRÁCTICAS LABORALES Y JUDICATURA EN EL SECTOR PÚBLICO. <Artículo modificado por el artículo 1 de la Resolución 1530 de 2017. El nuevo texto es el siguiente:> Créase el programa de incentivos para las prácticas laborales en el sector público “Estado Joven”, con el objeto de que los estudiantes de programas de formación complementaria ofrecidos por las escuelas normales superiores y los estudiantes de educación superior de pregrado en los niveles técnico profesional, tecnológico y universitario, adelanten sus prácticas laborales y judicatura en las entidades públicas como escenario de práctica, relacionadas con las necesidades específicas que estas últimas establezcan, recibiendo un auxilio de práctica laboral y la cotización a los subsistemas de seguridad social en salud, pensiones y riesgos laborales, para que los jóvenes adquieran experiencia laboral relacionada con su campo de estudio y mejoren sus niveles de empleabilidad y su transición al mercado de trabajo.
PARÁGRAFO 1o. El Programa “Estado Joven” podrá articularse con otras iniciativas dirigidas a incentivar la vinculación formativa, así como con estrategias para la vinculación laboral de los jóvenes en el sector público o privado.
ARTÍCULO 2o. INTERVINIENTES. <Artículo modificado por el artículo 2 de la Resolución 1530 de 2017. El nuevo texto es el siguiente:> En el desarrollo de las prácticas laborales objeto del Programa “Estado Joven” intervienen: el estudiante, la entidad pública como escenario de práctica y la institución de educación superior o la escuela normal superior, como institución formativa del estudiante.
Las Cajas de Compensación Familiar participan en este proceso en su condición de administradoras del Fosfec y como operadoras del programa, de acuerdo con los lineamientos establecidos por el Ministerio del Trabajo en el respectivo manual operativo del programa.
ARTÍCULO 3o. BENEFICIARIOS. <Artículo modificado por el artículo 3 de la Resolución 1530 de 2017. El nuevo texto es el siguiente:> Son beneficiarios del programa los estudiantes de formación complementaria ofrecidos por las escuelas normales superiores y los estudiantes de educación superior de pregrado, en los niveles profesional, técnico profesional y tecnológico, que tengan entre quince (15) y veintiocho (28) años de edad, que sean autorizados por la institución de educación superior o Escuelas Normales Superiores, en la que se encuentren matriculados para realizar las prácticas laborales en el sector público y hayan sido seleccionados por las entidades públicas que actuarán como escenario de práctica.
PARÁGRAFO 1o. Para el caso de los adolescentes entre los quince (15) y diecisiete (17) años de edad, se requiere autorización del Ministerio del Trabajo para vincularse a la práctica, de acuerdo con lo establecido en las Leyes 1098 de 2006 y 1780 de 2016.
PARÁGRAFO 2o. Los estudiantes que accedan al programa podrán ser beneficiarios por una única vez de la relación de práctica laboral, salvo casos de fuerza mayor o caso fortuito de conformidad con lo definido en el manual operativo del programa, expedido por el Ministerio del Trabajo.
ARTÍCULO 4o. DURACIÓN DE LA PRÁCTICA LABORAL. Las prácticas laborales objeto de este programa tendrán una duración máxima de cinco (5) meses, exceptuando a los estudiantes de derecho que realicen judicatura, en cuyo caso tendrán una duración de hasta doce (12) meses.
ARTÍCULO 5o. MODALIDADES DE PRÁCTICA LABORAL. En el programa existirán dos modalidades, a saber:
1. Medio tiempo, de diecinueve (19) horas a la semana.
2. Tiempo completo, de treinta y ocho (38) horas a la semana.
ARTÍCULO 6o. INCENTIVOS. Los estudiantes beneficiarios del programa, recibirán como incentivo para adelantar su práctica laboral en entidades públicas:
1. Un auxilio de práctica mensual, cuyo valor será equivalente a un (1) salario mínimo mensual legal vigente, para las prácticas de tiempo completo. En las prácticas de medio tiempo, recibirán el valor equivalente a medio (1/2) salario mínimo mensual legal vigente. Lo anterior de conformidad con lo previsto en el numeral 1o. del artículo 2.2.6.1.7.3 del Decreto 1072 de 2015.
Las cajas de compensación familiar, con cargo a los recursos del Fosfec, entregarán mensualmente al practicante el auxilio de práctica, que tiene como fin apoyar el proceso de adquisición de experiencia laboral a través del desarrollo de prácticas, previo cumplimiento de los requisitos que para el efecto disponga el Ministerio del Trabajo para la operación del programa.
2. Los aportes correspondientes a los subsistemas de seguridad social en salud, pensiones y riesgos laborales, por el término de duración de la práctica laboral. Lo anterior, de conformidad con lo previsto en la sección 7 del capítulo 1o. del título 6o. de la parte 2 del libro 2 del Decreto 1072 de 2015.
Las cajas de compensación familiar, con cargo a los recursos del Fosfec, realizarán las cotizaciones mensuales a los subsistemas de seguridad social en salud, pensiones y riesgos laborales de los practicantes, de acuerdo con lo señalado en la mencionada sección del Decreto 1072 de 2015.
PARÁGRAFO. Los incentivos de que trata este artículo tendrán la misma duración de la práctica laboral, de acuerdo con lo establecido en el artículo 4o. de la presente resolución.
ARTÍCULO 7o. FINANCIACIÓN DE INCENTIVOS. <Artículo modificado por el artículo 1 de la Resolución 5008 de 2017. El nuevo texto es el siguiente:> De acuerdo con lo establecido por el parágrafo 3 del artículo 13 de la Ley 1780 de 2016 y la Sección 7 del Capítulo 1 del Título 6 de la Parte 2 del Libro 2 del Decreto número 1072 de 2015, para que los jóvenes adquieran experiencia laboral relacionada con su campo de estudio a través de la vinculación formativa en las entidades públicas, las Cajas de Compensación Familiar dispondrán de treinta y tres mil doscientos setenta y nueve millones doscientos veintisiete mil seiscientos sesenta y siete pesos ($33.279.227.667) moneda legal y corriente, provenientes de los saldos de los recursos del Fosfec de la vigencia 2015, sobre los cuales el programa destinará un diez por ciento (10%) para gastos administrativos y tres por ciento (3%) para cubrir imprevistos.
PARÁGRAFO 1. De los establecidos en el presente artículo y para la fase piloto del programa a realizar en Bogotá, D. C., y el municipio de Arauca, las Cajas de Compensación Familiar Compensar y Comfiar, contarán con los siguientes recursos:
| Caja de Compensación | Municipio | Valor a asignar |
| Compensar | Bogotá, D.C. | $2.262.556.667 |
| Comfiar | Arauca | $178.572.360 |
PARÁGRAFO 2. Los recursos determinados en el presente artículo deberán incorporarse a la subcuenta de gestión y colocación de empleo del Fosfec.
ARTÍCULO 8o. MANEJO CONTABLE DE LOS RECURSOS. La Superintendencia de Subsidio Familiar generará un rubro al interior de la subcuenta de gestión y colocación del empleo de Fosfec, para registrar los recursos que se destinarán para financiar el programa de incentivos creado por la presente resolución.
ARTÍCULO 9o. PROTECCIÓN EN RIESGOS LABORALES. El sistema de gestión de la seguridad y salud en el trabajo de la entidad pública donde se realice la práctica laboral, incluirá a los estudiantes beneficiarios, por lo tanto el estudiante y la entidad pública se asimilan a la condición de trabajador dependiente y empleador, respectivamente, para la realización, con especial énfasis, de las actividades de prevención, promoción y seguridad y salud en el trabajo.
PARÁGRAFO. El procedimiento de afiliación y cotización que realizan las cajas de compensación familiar en su condición de administradoras de Fosfec, no las convierte en empleadoras o contratantes del estudiante y en consecuencia la entidad pública escenario de práctica, es la responsable de la protección del mismo ante los riesgos que toma al realizar sus actividades de práctica.
ARTÍCULO 10. VINCULACIÓN FORMATIVA DEL PRACTICANTE. En concordancia con lo establecido en el parágrafo 1o. del artículo 13 de la Ley 1780 de 2016, la entidad pública como escenario de práctica expedirá el acto de vinculación formativa con el estudiante que resulte seleccionado como beneficiario del programa.
PARÁGRAFO. La entidad pública escenario de práctica deberá remitir a la caja de compensación familiar el acto de vinculación formativa e informarle la actividad que ejecutará el estudiante, el lugar donde desarrollará las actividades, la clase de riesgo a que corresponden las actividades realizadas y el horario en que se realizarán, dando cumplimiento a parágrafo 1o. del artículo 2.2.6.1.7.7 del Decreto 1072 de 2015. Cualquier modificación relacionada con lo establecido en el presente parágrafo, deberá ser comunicada a la caja de compensación familiar.
ARTÍCULO 11. OPERACIÓN. El Ministerio del Trabajo, a través del Viceministerio de Empleo y Pensiones establecerá el manual operativo que definirá los lineamientos, directrices y procedimientos que deberán seguir y realizar los actores que participan en el programa con el fin de garantizar el cumplimiento de su objetivo.
ARTÍCULO 11A. ARTICULACIÓN “PROGRAMA ESTADO JOVEN” CON LA INICIATIVA “MANOS A LA PAZ”. <Artículo adicionado por el artículo 1 de la Resolución 88 de 2018. El nuevo texto es el siguiente:> El Ministerio Trabajo en cumplimiento de lo establecido en el artículo 22 de la Ley 1780 de 2016 y el artículo 2.2.6.1.7.3. del Decreto número 1072 de 2015 mediante las resoluciones 4566 de 2016, 1530 y 5008 de 2017 definió las condiciones y los criterios de priorización y focalización del programa Estado Joven, para promover escenarios de práctica laboral en entidades públicas que se financiarán con los recursos del Fondo de Solidaridad de Fomento al Empleo y Protección al Cesante (Fosfec) administrados por Cajas de Compensación Familiar, estableciéndose de manera expresa la facultad de articularse con otras iniciativas dirigidas a incentivar la vinculación formativa, así como con estrategias para la vinculación laboral de los jóvenes en el sector público o privado.
En desarrollo de lo anterior, las Cajas de Compensación Familiar podrán operar los recursos del programa “Estado Joven” en articulación con la iniciativa “Manos a la Paz” en los municipios afectados por el conflicto armado colombiano que sean priorizados por el Ministerio del Trabajo, teniendo en cuenta el memorando de entendimiento suscrito el 28 de noviembre de 2017 entre el Ministerio de Trabajo, el Departamento Administrativo de la Función Pública y el Programa de las Naciones Unidas para el Desarrollo (PNUD), donde también obra como observador, el Alto Consejero Presidencial para el Posconflicto y el Manual Operativo que para el efecto adopte el Viceministerio de Empleo y Pensiones.
ARTÍCULO 12. VIGENCIA. La presente resolución rige a partir de su publicación.
Publíquese y cúmplase.
Dada en Bogotá D.C., a noviembre 4 de 2016.
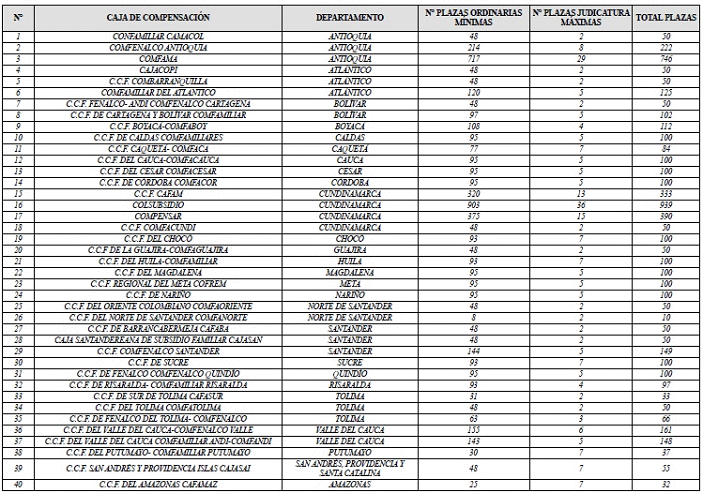
<Artículo modificado por el artículo 2 de la Resolución 5008 de 2017. El nuevo texto es el siguiente:> Las plazas de práctica por Cajas de Compensación Familiar, se determinaron teniendo en cuenta, los recursos disponibles por Caja, una vez descontados el porcentaje de administración (10%) e imprevistos (3%).
Las anteriores deducciones definieron el total de los recursos netos para incentivos de práctica por valor de veintiocho mil novecientos cincuenta y dos millones novecientos veintiocho mil setenta pesos ($28.952.928.070) moneda legal y corriente, de los cuales se realizó una distribución por modalidad de plazas de práctica y por Caja de Compensación Familiar, de la siguiente manera:


(*) Esta Caja de Compensación Familiar no cuenta actualmente con Agencia de Gestión y Colocación de Empleo para operar el Programa.
La distribución realizada permite cumplir con las plazas mínimas a atender. En dado caso que no se agoten los recursos disponibles para las plazas de judicatura, las Cajas de Compensación Familiar, podrán reasignarlos para plazas adicionales de la modalidad ordinaria (hasta 5 meses). Lo anterior, teniendo en cuenta que el valor de los incentivos a pagar por joven en el marco de este programa.