RESOLUCIÓN 975 DE 2016
(marzo 18)
Diario Oficial No. 49.824 de 23 de marzo de 2016
MINISTERIO DE SALUD Y PROTECCIÓN SOCIAL
Por la cual se establece el mecanismo de cálculo para definir el monto que las EPS y EOC deben aportar sobre los recursos de la UPC de los Regímenes Contributivo y Subsidiado y su distribución, para el manejo de la enfermedad huérfana “déficit congénito del factor VIII” (Hemofilia A Severa).
EL MINISTRO DE SALUD Y PROTECCIÓN SOCIAL,
en ejercicio de sus atribuciones legales y reglamentarias, en especial, de las conferidas en el numeral 2 del artículo 173 de la Ley 100 de 1993, el literal b) del artículo 25 de la Ley 1122 de 2007, y
CONSIDERANDO:
Que la Ley 1392 de 2010 reconoce que las enfermedades huérfanas representan un problema de especial interés en salud dado que por su baja prevalencia en la población, pero su elevado costo de atención y la dificultad en la gestión e incentivos a los resultados en salud, requieren dentro del Sistema General de Seguridad Social en Salud un mecanismo de aseguramiento diferente al utilizado para las enfermedades generales;
Que la patología “Déficit Congénito del Factor VIII” (Hemofilia A Severa), se encuentra contenida en la Resolución número 2048 de 2015 “por la cual se actualiza el listado de enfermedades huérfanas y se define el número con el cual se identifica cada una de ellas en el sistema de información de pacientes con enfermedades huérfanas”;
Que este Ministerio adoptó el protocolo clínico para tratamiento de profilaxis de personas con Hemofilia A Severa sin inhibidores, elaborado por el Instituto de Evaluación de Tecnología en Salud (2015);
Que de conformidad con los parámetros definidos en la Resolución número 123 de 2015, la Cuenta de Alto Costo recopila y audita la información de pacientes diagnosticados con hemofilia y otras coagulopatías asociadas a déficit de factores de la coagulación;
Que con fundamento en tal insumo, la Dirección de Regulación de Beneficios, Costos y Tarifas del Aseguramiento en Salud evidenció que el 80% de las personas que padecen hemofilia severa A se encuentran concentradas en 16 Entidades Promotoras de Salud (EPS) y que el 96 % del costo del tratamiento de la enfermedad se deriva del uso del medicamento “Factor VIII de coagulación”, por lo que se requiere una medida que incentive la prevención secundaria y terciaria, en procura del mejoramiento de los resultados en salud;
Que la Comisión Asesora de Beneficios, Costos y Tarifas del Aseguramiento en Salud, en Sesión número 17 del 5 de febrero de 2016 recomendó aplicar el mecanismo de ajuste ex post, concertar con los diferentes actores los indicadores a aplicar a partir del tercer año para incentivar la gestión y expedir el acto administrativo correspondiente;
En mérito de lo expuesto,
RESUELVE:
ARTÍCULO 1o. OBJETO. Establecer el mecanismo de cálculo que aplicará el Ministerio de Salud y Protección Social para definir: i) el monto que las EPS de los regímenes subsidiado y contributivo y las EOC deberán aportar, de los recursos percibidos por Unidad de Pago por Capitación (UPC), para su redistribución, ii) la distribución de dichos recursos entre las EPS y EOC, con el fin de incentivar la gestión y los resultados en salud de la enfermedad huérfana “déficit congénito del factor VIII” (Hemofilia A Severa).
ARTÍCULO 2o. FUENTES DE INFORMACIÓN Y PERIODICIDAD DE LOS CÁLCULOS. El mecanismo de cálculo definido en la presente resolución se aplicará utilizando la última información reportada a la Cuenta de Alto Costo por las entidades obligadas, de conformidad con lo dispuesto en la Resolución número 123 de 2015; la cual, previa auditoría y validación por parte de la receptora, deberá ser entregada por la misma a la Dirección de Regulación de Beneficios, Costos y Tarifas del Aseguramiento en Salud de este Ministerio en la oportunidad que esta dependencia la requiera.
La fuente de información para el número de afiliados activos por cada EPS en cada grupo de edad, será la Base de Datos Única de Afiliados para el año de corte de la información auditada por la cuenta de alto Costo.
PARÁGRAFO. La Dirección de Regulación de Beneficios Costos y Tarifas del Aseguramiento en Salud de este Ministerio podrá solicitar copia exacta y fidedigna de la información entregada a la Cuenta de Alto Costo por parte de las entidades obligadas al reporte por la citada Resolución número 123 de 2015.
ARTÍCULO 3o. DE LOS GRUPOS ETARIOS. Los grupos etarios en años cumplidos a usar serán:
| 0 a 4 años | 45 a 49 años |
| 5 a 9 años | 50 a 54 años |
| 10 a 14 años | 55 a 59 años |
| 15 a 19 años | 60 a 64 años |
| 20 a 24 años | 65 a 69 años |
| 25 a 29 años | 70 a 74 años |
| 30 a 34 años | 75 a 79 años |
| 35 a 39 años | 80 y más años |
| 40 a 44 años | |
ARTÍCULO 4o. VARIABLES QUE DEBEN TENERSE EN CUENTA. Para efectos de la presente resolución, se establecen las siguientes definiciones:
| PCj | Valor per cápita del tratamiento de pacientes en profilaxis sin complicaciones con Hemofilia A severa, en el grupo de etario (j). |
| Valor per cápita promedio del tratamiento de pacientes en profilaxis sin complicaciones en la edad (i) y del género masculino. | |
| ñi,M | Número de pacientes en la edad (i) y género masculino. |
| ñj,M | Número total de pacientes en el grupo etario (j) y del género masculino. |
| Valor per cápita promedio del tratamiento de pacientes en profilaxis sin complicaciones en la edad (i) y del género femenino. | |
| ñi,F | Número de pacientes en la edad (i) y género femenino. |
| ñi,F | Número total de pacientes en el grupo etario (j) y del género femenino. |
| PCI | Valor per cápita del tratamiento de pacientes en profilaxis sin complicaciones ponderado por la población con Hemofilia A severa. |
| ñj | Número de pacientes con Hemofilia A severa en grupo de edad (j) |
| PCs | Valor per cápita de los pacientes con Hemofilia A severa reportados en la base de suficiencia en el grupo de edad (j). |
| VTBj | Valor total reportado en la base de suficiencia para pacientes con Hemofilia A severa por grupo etario (j). |
| ñjs | Número de pacientes comunes con Hemofilia A severa reportados en la base de suficiencia. |
| VR | Valor de reconocimiento por paciente con Hemofilia A severa. |
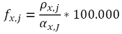
| fx,j | Prevalencia de Hemofilia A severa para cada grupo edad (j) y para cada aseguradora (x). |
| ñx,j | Número de pacientes con Hemofilia A severa en el grupo de edad (j), afiliados a la aseguradora (x). |
| Número de afiliados activos a la aseguradora (x) por grupo de edad (j). | |
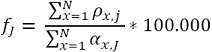
| fj | Prevalencia total del Hemofilia A severa en cada grupo de edad (j), para la totalidad de las aseguradoras (x). |
| Diferencia entre prevalencias de pacientes con Hemofilia A severa por grupo de edad (j), afiliados a la aseguradora (x); y la prevalencia de pacientes con Hemofilia A severa, para el grupo de edad (j) de todas las aseguradoras (x). | |
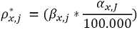
| Px,j | Diferencia entre las prevalencias de Hemofilia A severa expandida a la población de la aseguradora (x), por grupo de edad (j). |
| Número de afiliados activos a la aseguradora (x) por grupo de edad (j). | |
| Px, | Diferencia entre las prevalencias de Hemofilia A severa expandida a la población de la aseguradora (x). |
| VERx | Valor por cada aseguradora (x). |
| FC | Valor del fondo común. |
| MAx | Aporte de cada aseguradora (x) al fondo común. |
| Número de afiliados activos a la aseguradora (x). | |
| Dh | Distribución de recursos por el número de pacientes con Hemofilia A severa. |
| ñx | Número de pacientes con Hemofilia A severa por aseguradora (x). |
ARTÍCULO 5o. ESTIMACIÓN DEL VALOR DE RECONOCIMIENTO. El valor de reconocimiento será actualizado de manera anual, teniendo en cuenta la metodología desarrollada por la Dirección de Regulación de Beneficios, Costos y Tarifas del Aseguramiento en Salud de este Ministerio, la cual forma parte del documento técnico soporte de la presente resolución; una vez establecido este valor se aplicarán las siguientes fórmulas:
1. Valor per cápita de tratamiento de pacientes en profilaxis sin complicaciones por grupo etario.

2. Valor per cápita de tratamiento de pacientes en profilaxis sin complicaciones ponderado por la población reportada en el marco de la Resolución número 123 de 2015 con diagnostico confirmado de Hemofilia A severa
![]()
3. Valor per cápita de reporte de la Base de suficiencia ponderado por la población reportada en el marco de la Resolución número 123 de 2015 con diagnóstico confirmado de Hemofilia A severa.

4. Valor de reconocimiento
![]()
ARTÍCULO 6o. ESTIMACIÓN DEL MONTO NECESARIO PARA LA GESTIÓN DE RIESGO Y EL ADECUADO TRATAMIENTO DE LOS PACIENTES CON HEMOFILIA A SEVERA. Las fórmulas que se describen a continuación permiten establecer el monto que cada EPS y EOC debe aportar, con el fin de poner en marcha el mecanismo de reconocimiento para incentivar la gestión y el adecuado tratamiento de los pacientes con Hemofilia A severa:
1. Prevalencia fx,j de Hemofilia A severa para cada grupo edad (j) y para cada aseguradora (x)

2. Prevalencia () total de Hemofilia A severa en cada grupo de edad, para la totalidad de las aseguradoras.

3. Diferencia entre las prevalencias
![]()
4. Diferencia entre las prevalencias de Hemofilia A severa expandida a la población de la aseguradora x, por grupo de edad j.
![]()
5. Diferencia entre prevalencias de Hemofilia A en condición Severa expandido a la población de la aseguradora i

6. Estimación del valor necesario para la gestión de riesgo y adecuado tratamiento de los pacientes con Hemofilia A en condición severa por aseguradora.
![]()
ARTÍCULO 7o. DETERMINACIÓN DE LA DISTRIBUCIÓN DE RECURSOS. La distribución de los recursos, para garantizar la gestión de riesgo, concomitante con los recursos de la UPC y el acceso oportuno y adecuado al tratamiento de dicha patología, será definida de la siguiente manera:
1. Para determinar el monto total del fondo común se aplicará la siguiente fórmula que proviene del cálculo del artículo 6o:

2. Para determinar el aporte de cada aseguradora al mecanismo de gestión y adecuado tratamiento para Hemofilia A severa se aplicará la siguiente fórmula:

El aporte provendrá de los recursos del UPC de la vigencia respectiva.
3. Se estima la distribución de recursos por el número de pacientes con Hemofilia A severa por la aseguradora x
![]()
PARÁGRAFO 1o. Durante las dos primeras distribuciones de recursos no se tendrán en cuenta los indicadores de resultados, gestión o proceso; a partir de la tercera medición la distribución se podrá realizar según los resultados que evidencien los indicadores previamente definidos y acordados con la participación de las aseguradoras, sociedades científicas y demás organismos interesados en el manejo de esta patología.
PARÁGRAFO 2o. Si existen EPS que se encuentren en proceso de liquidación y por este motivo los pacientes con Hemofilia A severa deban ser trasladados a otras EPS, el período correspondiente al primer año del traslado del paciente, no será tenido en cuenta para efectos de los indicadores de resultados, gestión o proceso.
ARTÍCULO 8o. DISTRIBUCIÓN Y GIRO DE LOS RECURSOS. <Artículo modificado por el artículo 1 de la Resolución 5320 de 2016. El nuevo texto es el siguiente:> La distribución y giro de los recursos provenientes de la UPC se efectuará mensualmente, de manera concomitante con el proceso de compensación y liquidación mensual de afiliados, según corresponda, y hasta el mes de noviembre de cada anualidad.
PARÁGRAFO 1o. Si alguna de las EPS tenidas en cuenta para la determinación de los montos a aportar, reconocer y pagar, se encuentra liquidada o en proceso de liquidación, los valores correspondientes a esta se aplicarán en forma proporcional a los aportes y reconocimientos de las demás EPS.
PARÁGRAFO 2o. Una vez realizado el ejercicio de distribución, se procederá a su publicación en la página web de este ministerio.
ARTÍCULO 9o. La presente resolución rige a partir de su publicación.
Publíquese y cúmplase.
Dada en Bogotá, D. C., a 18 de marzo de 2016.
El Ministro de Salud y Protección Social,
ALEJANDRO GAVIRIA URIBE.