ERESOLUCIÓN 1912 DE 2015
(mayo 29)
Diario Oficial No. 49.586 de 27 de julio de 2015
MINISTERIO DE HACIENDA Y CRÉDITO PÚBLICO
MINISTERIO DE SALUD Y PROTECCIÓN SOCIAL
Por la cual se fija el mecanismo de cálculo que define el monto de giro y distribución de los recursos de la cuenta de alto costo para las empresas promotoras de salud del régimen contributivo, del régimen subsidiado y entidades obligadas a compensar, en el caso del VIH/SIDA.
EL MINISTRO DE HACIENDA Y CRÉDITO PÚBLICO Y EL MINISTRO DE SALUD Y PROTECCIÓN SOCIAL,
en ejercicio de sus atribuciones legales y reglamentarias, en especial, de las conferidas en el literal b) del artículo 25 de la Ley 1122 de 2007 y el artículo 4o del Decreto número 2699 de 2007, y
CONSIDERANDO:
Que mediante el Decreto número 2699 de 2007, se estableció la cuenta de alto costo como un instrumento de administración financiera de los recursos destinados al cubrimiento de la atención de las enfermedades ruinosas y catastróficas -alto costo- y de los correspondientes a las actividades de protección específica, detección temprana y atención de enfermedades de interés en salud pública directamente relacionadas con el alto costo, buscando promover entre otros, la gestión del riesgo y, a través de ella, la generación de resultados en salud para disminuir la tendencia futura de los eventos de alto costo.
Que el artículo 4o del citado decreto, modificado por el artículo 1o del Decreto número 3511 de 2009, establece que el monto de recursos que corresponda girar a cada Entidad Promotora de Salud y demás entidades obligadas a compensar y el monto mensual que le corresponderá en la distribución, será el que resulte de aplicar el mecanismo que se establezca mediante resolución conjunta del Ministerio de la Protección Social y del Ministerio de Hacienda y Crédito Público, para cada tipo de enfermedad de alto costo y de actividades de protección específica, detección temprana y atención de enfermedades de interés en salud pública directamente relacionadas con las enfermedades de alto costo que se seleccionen.
Que el mencionado artículo 4o también dispone que la periodicidad, la forma y el contenido de la información que deben reportar cada una de las entidades obligadas a girar recursos a la Cuenta de Alto Costo, EPS, EPS-S y EOC, será definida por el Ministerio de la Protección Social.
Que en desarrollo de estas normas, el Ministerio de la Protección Social expidió la Resolución número 4725 de 2011, modificada por la Resolución 783 de 2012, “por la cual se define la periodicidad, la forma y el contenido de la información que deben reportar las Entidades Promotoras de Salud y las demás Entidades Obligadas a Compensar a la Cuenta de Alto Costo, relacionada con la infección por el Virus de Inmunodeficiencia Humana (VIH) y el Síndrome de Inmunodeficiencia Adquirida (SIDA)”.
Que según las conclusiones y recomendaciones del estudio “Mecanismo de pago por gestión del riesgo en VIH/SIDA Cuenta de Alto Costo”, elaborado por la Dirección de Regulación de Beneficios, Costos y Tarifas del Aseguramiento en Salud de este Ministerio, con fecha de noviembre de 2014, “El panorama presentado demarca la necesidad de fortalecer las estrategias de gestión del riesgo que permitan a la población general y especialmente a aquella con mayores factores de vulnerabilidad, acceder a la información necesaria para promover una sexualidad sana y responsable y prevenir el riesgo de contagio por el virus”.
Que la condición de VIH/SIDA es considerada de interés en salud pública, por lo que se hace necesario incluir la gestión de riesgo de la enfermedad en el mecanismo de cálculo que se defina, con el objetivo de promover su detección temprana, el control de la enfermedad mediante el acceso oportuno al tratamiento y el seguimiento a su efectividad.
Que en mérito de lo expuesto,
RESUELVEN:
ARTÍCULO 1o. OBJETO. Establecer el mecanismo de cálculo que deberán aplicar las Entidades Promotoras de Salud del Régimen Contributivo (EPS) y del Régimen Subsidiado (EPS-S), así como las Entidades Obligadas a Compensar (EOC), para definir los montos de aporte y distribución de los recursos que la cuenta de alto costo, o quien haga sus veces, administrará financieramente en el caso del VIH/SIDA.
ARTÍCULO 2o. FUENTES DE INFORMACIÓN Y PERIODICIDAD DE LOS CÁLCULOS. El mecanismo de cálculo definido en la presente resolución se aplicará utilizando la información recolectada en virtud de la Resolución 4725 de 2011, modificada por la Resolución 783 de 2012. La información que se utilizará será la que haya sido validada, auditada y certificada por el organismo de administración de la Cuenta de Alto Costo o quien haga sus veces, para cada una de las variables de que trata el artículo 5 de la presente resolución y se aplicará con una periodicidad anual tomando la información reportada con corte a enero de cada año en la fecha definida en el artículo 2o de la Resolución 4725 de 2011 y las normas que la modifiquen o sustituyan.
ARTÍCULO 3o. DE LAS FUENTES DE INFORMACIÓN PARA LA POBLACIÓN. La fuente de información para el número de afiliados activos por cada EPS, EPS-S y EOC en cada grupo de edad, será la Base de Datos Única de Afiliados, utilizando la misma fecha de corte definida en el artículo 2o de la Resolución 4725 de 2011.
ARTÍCULO 4o. DE LOS GRUPOS ETARIOS. Los grupos etarios en años cumplidos a usar en las categorías serán:
| 0 a 4 años | 45 a 49 años |
| 5 a 9 años | 50 a 54 años |
| 10 a 14 años | 55 a 59 años |
| 15 a 19 años | 60 a 64 años |
| 20 a 24 años | 65 a 69 años |
| 25 a 29 años | 70 a 74 años |
| 30 a 34 años | 75 a 79 años |
| 35 a 39 años | 80 y más años |
40 a 44 años
ARTÍCULO 5o. VARIABLES QUE DEBEN TENERSE EN CUENTA. Para efectos de la presente resolución, se establecen las siguientes definiciones que se determinarán para el periodo de reporte, con la información de que trata el artículo 2 de la presente resolución:
| fi,j | Prevalencia del VIH/SIDA para cada grupo de edad (j) y para cada aseguradora (i). |
| fJ | Prevalencia total del VIH/SIDA en cada grupo de edad, para la totalidad de las aseguradoras. |
| ñi,j | Número de pacientes con VIH/SIDA en el grupo de edad j, afiliados a la aseguradora i. |
| aiJ | Número de afiliados activos a la aseguradora i por grupo de edad j. |
| â.i j | Diferencia entre prevalencias de pacientes con VIH/SIDA por grupo de edad j, afiliados a la aseguradora i; y la prevalencia de pacientes con VIH/SIDA, para el grupo de edad j de todas las aseguradoras. |
| ñ,i*j | Diferencia entre las prevalencias de VIH/SIDA expandido a la población de la aseguradora i, por grupo de edad j. |
| ñ,i* | Diferencia entre las prevalencias de VIH/SIDA expandido a la población de la aseguradora i. |
| : Costo de atención de un paciente con VIH/SIDA certificada por la administración de la cuenta de alto costo. | |
| VERi | Estimación del valor necesario para la gestión de riesgo del VIH/SIDA por aseguradora. |
| FC: | Valor para constituir el Fondo común. |
| MAi: | Aporte de cada aseguradora i al fondo común. |
| ai | Población afiliada activa a cada entidad. |
| Dn,i: | Distancia del indicador n aseguradora i por la población. |
| In,i: | Resultado del indicador n aseguradora i. |
| Mn: | Meta o referencia del indicador n. |
| Kn,i: | Porcentaje de cumplimiento del indicador n en la aseguradora i. |
| Yi: | Distribución de recursos del fondo común para la aseguradora i, por cumplimiento de los indicadores. |
| Pn: | Participación del indicador n, en la distribución de recursos. |
ARTÍCULO 6o. ESTIMACIÓN DEL MONTO NECESARIO PARA LA GESTIÓN DE RIESGO VIH/SIDA. Las fórmulas que se describen a continuación permiten establecer el monto que cada EPS-C, EPS-S y EOC, debe aportar con el fin de poner en marcha el mecanismo de reconocimiento para incentivar la gestión y los resultados en salud de VIH/SIDA:
1. Prevalencia fi,j del VIH/SIDA para cada grupo de edad (j) y para cada aseguradora (i).
![]()
2. Prevalencia (fJ) total del VIH/SIDA en cada grupo de edad, para la totalidad de las aseguradoras.
![]()
3. Diferencia entre las prevalencias
![]()
4. Diferencia entre las prevalencias de VIH/SIDA expandido a la población de la aseguradora i, por grupo de edad j.
![]()
5. Diferencia entre prevalencias de VIH/SIDA expandido a la población de la aseguradora i.
![]()
6. Estimación del valor necesario para la gestión de riesgo de VIH/SIDA por aseguradora.
![]()
PARÁGRAFO. Para la certificación del costo de atención de un paciente con VIH/SIDA, la cuenta de alto costo o quien haga sus veces deberá presentar al Ministerio de Salud y Protección Social, la metodología de cálculo para estimar el valor de reconocimiento para la gestión respectiva.
ARTÍCULO 7o. DISTRIBUCIÓN DE RECURSOS POR GESTIÓN DE RIESGO DE VIH/SIDA. La distribución de los recursos, consecuencia de incentivar la gestión del riesgo en salud del VIH/SIDA, será definida de la siguiente manera:
Para determinar el monto total del fondo común se aplicará la siguiente fórmula que proviene del cálculo del artículo 6o.
![]()
2. Para determinar el aporte de cada aseguradora al mecanismo de gestión para el VIH/ SIDA se aplicará la siguiente fórmula:
![]()
El aporte provendrá de los recursos de UPC de la vigencia respectiva.
3. El monto total recaudado será distribuido en cada vigencia, entre las EPS-C, EPS-S y EOC que cumplan los indicadores y metas propuestas por el Ministerio de Salud y Protección Social. Los indicadores serán de proceso o resultado. Con el fin de incentivar la gestión de riesgo y los resultados en salud y evitar la selección adversa por parte de las aseguradoras, los indicadores y sus metas se estructuran por etapas.
En una primera etapa, los indicadores o metas se centrarán en procesos y en resultados y conforme se mejore la gestión y la información, se migrará hacia indicadores de resultados. Los indicadores que se seleccionaron para la primer fase responden a las primeras necesidades en salud que se quieren abordar para los pacientes con esta condición, buscando con ello una mejoría en sus condiciones de vida, dado que ningún grupo poblacional de los que se encuentra inmerso en los indicadores tiene más importancia que otro, la participación de cada uno es del 30%, con excepción del indicador que mide la prevalencia que pesa un 10% debido a que el incremento de este indicador es consecuencia de programas de detección temprana. Las metas o referencias de medición de los indicadores estarán acorde a la guía de práctica clínica vigente en el país, o referencias internacionales aceptadas por las sociedades científicas según correspondan. En el Anexo de la presente resolución se presentan los indicadores de esta etapa.
En la segunda etapa se podrá migrar hacia indicadores de resultados de salud y el Ministerio de Salud y Protección Social establecerá metas concretas para cada indicador. Los recursos se distribuirán entre las EPS que superen la meta o referencia país.
Una vez se hayan medido los indicadores se realizará la distribución de los recursos por gestión (100%) aplicando las siguientes fórmulas:
I. Se estima la distancia entre el indicador y la meta establecida, para la primera fase será la referencia país, este resultado se multiplica por la población afiliada a cada aseguradora.
![]()
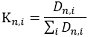
II. Se calcula el porcentaje de cumplimiento de cada una de las aseguradoras.
![]()
III. Se estiman la distribución del fondo común para cada una de las aseguradoras.
![]()
PARÁGRAFO 1o. En cada vigencia, el Ministerio de Salud y Protección Social podrá modificar los porcentajes de participación o incluir nuevos indicadores destinados a gestión del riesgo en salud.
PARÁGRAFO 2o. Si existen EPS-C, EPS-S y EOC que se encuentren en proceso de liquidación y por este motivo los pacientes con VIH/SIDA deban ser trasladados a las demás EPS-C, EPS-S y EOC, durante el primer año del traslado del paciente, no será tenido en cuenta para efectos de los indicadores de gestión.
ARTÍCULO 8o. La presente resolución aplicará para la información suministrada a la Cuenta de Alto Costo por las EPS, EPS-S y EOC, debidamente validada y auditada, y conforme a ella deberá girarse o reconocerse para cada caso el monto neto mensual de los recursos definidos una vez aplicados los indicadores respectivos; de igual manera, en la medida que la información lo permita, el periodo de reporte puede ser modificado por el Ministerio de Salud y Protección Social a través del acto administrativo correspondiente.
ARTÍCULO 9o. VIGENCIA. La presente resolución rige a partir de su publicación.
Publíquese y cúmplase.
Dada en Bogotá, D. C, a 29 de mayo de 2015.
El Ministro de Hacienda y Crédito Público,
MAURICIO CÁRDENAS SANTAMARÍA.
El Ministro de Salud y Protección Social,
ALEJANDRO GAVIRIA URIBE.
Primera etapa – Indicadores iniciales
a) Indicadores de Proceso:
A.1. Porcentaje de gestantes tamizadas para VIH/SIDA.
Mide: La medición de este indicador, está orientada a mejorar la efectividad en la reducción de la transmisión vertical, para evitar que los niños contraigan esta infección, por la discapacidad que provoca y la mortalidad a edad temprana. Para ello, el primer paso en la gestión de riesgo es identificar a las mujeres embarazadas seropositivas, mediante las pruebas de tamizaje disponibles.
![]()
Numerador: Base de datos de VIH/SIDA, del Fondo Colombiano de Enfermedades de Alto Costo, variable que identifica las mujeres embarazadas en la fecha de corte y en los últimos 6 meses tamizadas para VIH dentro del periodo de embarazo reportado.
Denominador: Base de datos de VIH/SIDA, del Fondo Colombiano de Enfermedades de Alto Costo, total de gestantes.
A.2. Porcentaje de personas viviendo con VIH/SIDA con TAR con última carga viral adecuada.
Mide: Este indicador mide el número de personas con diagnóstico confirmado de VIH/SIDA y que se encuentran en TAR, con última carga viral adecuada.

Numerador: Base de datos de VIH/SIDA, del Fondo Colombiano de Enfermedades de Alto Costo, pacientes con carga viral adecuada y recibiendo TAR.
Denominador: Base de datos de VIH/SIDA, del Fondo Colombiano de Enfermedades de Alto Costo, total de pacientes con TAR.
A.3. Porcentaje de personas con detección temprana de VIH/SIDA
Mide: Con este indicador se busca estimular a las aseguradoras para el desarrollo de estrategias de detección temprana de casos de infección por VIH/SIDA, para evitar la progresión de la enfermedad en casos diagnosticados tardíamente y nuevos contagios que propaguen el virus entre la población expuesta, por desconocimiento de la población portadora del virus.
![]()
Numerador: Base de datos de VIH/SIDA, del Fondo Colombiano de Enfermedades de Alto Costo, pacientes con nuevo diagnóstico confirmado en la misma entidad que lo reporta en estadio temprano de la enfermedad al momento del diagnóstico (estadios A1,B1, A2 o B2 del CDC 1993).
Denominador: Base de datos de VIH/SIDA, del Fondo Colombiano de Enfermedades de Alto Costo, pacientes con nuevo diagnóstico confirmado dentro del periodo de observación, en la misma entidad que lo reporta, sin importar el estadio de la enfermedad.
b) Indicador de resultado
B.1. Prevalencia del VIH/SIDA
Mide: Este indicador identifica la proporción de personas con la enfermedad, permitiendo cuantificar la frecuencia con que se está presentando, los casos expuestos a riesgo y la tendencia de su comportamiento en un período de tiempo, aspectos que son útiles para evaluar las acciones preventivas, planificar y ajustar la oferta de servicios de salud y para monitorear la magnitud del problema.
![]()
Numerador: Base de datos de VIH/SIDA, del Fondo Colombiano de Enfermedades de Alto Costo, personas con diagnóstico confirmado.
Denominador: Población registrada y activa en BDUA desagregada por grupos etarios por aseguradora.