RESOLUCIÓN 12 DE 2007
(enero 12)
Diario oficial No. 46.513 de 16 de enero de 2007
MINISTERIO DE AGRICULTURA Y DESARROLLO RURAL
<NOTA DE VIGENCIA: Resolución derogada por el artículo 28 de la Resolución 17 de 2012>
Por la cual se establece el Sistema de Pago de la Leche Cruda al Productor.
EL MINISTRO DE AGRICULTURA Y DESARROLLO RURAL,
en ejercicio de sus facultades legales, en especial de las conferidas por los artículos 49 de la Ley 101 de 1993, 5o del Decreto-ley 1675 de 1997, y el artículo 3o del Decreto 2478 de 1999, y
CONSIDERANDO:
Que el numeral 13 del artículo 3o del Decreto 2478 de 1999 faculta al Ministerio de Agricultura y Desarrollo Rural para "Regular los mercados internos de productos agropecuarios y pesqueros, determinar la política de precios de dichos productos y sus insumos, cuando se considere que existan fallas en el funcionamiento de los mercados y proponer a los organismos competentes la adopción de medidas o acciones correctivas de distorsiones, en las condiciones de competencia interna de los mercados de dichos productos";
Que durante los últimos años en Colombia, no ha sido posible establecer una política de mediano y largo plazo para la determinación de precios para el sector lácteo con una visión de cadena productiva, debido a la falta de consenso entre los diferentes actores que hacen parte del Consejo Nacional Lácteo;
Que debido a las distorsiones que persisten en el mercado lácteo colombiano, dadas las características de los sistemas y escalas de producción, las asimetrías en la comercialización de la leche cruda, y la presencia heterogénea de agentes económicos compradores y/o comercializadores de leche cruda a nivel regional y nacional, se hace necesaria la intervención del gobierno en la fijación del precio al productor;
Que es importante que la intervención del gobierno se base en una propuesta estructurada y técnica ajustada a la dinámica y exigencias del mercado doméstico e internacional;
Que es de interés del Gobierno Nacional establecer un sistema de pago de la leche cruda al productor a través de una metodología de cálculo imparcial con base en fuentes confiables de información, que genere las condiciones necesarias para la toma de decisiones, de los diferentes actores del sector lácteo, sobre las inversiones requeridas en el mediano y largo plazo;
Que según el artículo 1o del Decreto 2478 de 1999, que modifica la estructura del Ministerio de Agricultura y Desarrollo Rural, Corpoica, forma parte del sistema administrativo del sector agropecuario, pesquero y de desarrollo rural;
Que Corpoica es una corporación de participación mixta, y que de conformidad con lo establecido en el artículo 1o de los Estatutos, Corpoica "es una entidad de participación mixta, de carácter científico y técnico sin fines de lucro, cuyo objeto es el desarrollo y ejecución de la investigación y la transferencia de tecnología agropecuarias",
RESUELVE:
DEFINICIONES.
ARTÍCULO 1o. <Resolución derogada por el artículo 28 de la Resolución 17 de 2012> Para efectos de la presente resolución se establecen las siguientes definiciones:
a) Sistema de pago de la leche cruda al productor. Es la metodología utilizada para determinar la liquidación del pago de un litro de leche cruda al productor, por parte del agente económico comprador de la misma, dentro del territorio nacional.
La metodología se basa en el cálculo de un precio competitivo asociado a una calidad estándar regional a partir de la cual se bonifica o descuenta de forma obligatoria la calidad higiénica, composicional y sanitaria de la leche entregada por el productor, teniendo en cuenta además el costo de transporte y las bonificaciones voluntarias;
b) Productor de leche cruda. Es toda persona natural o jurídica que se dedica a la producción de leche cruda en el territorio nacional;
c) Agente económico comprador de leche cruda. Es toda persona natural o jurídica que compra leche cruda y la utiliza con fines industriales y/o comerciales;
d) Precio competitivo. Es la suma del conjunto de variables que relacionan los precios de compra y venta de leche cruda y derivados lácteos del mercado interno, con el precio de un producto del mercado externo, teniendo como objeto definir un precio acorde con las condiciones del mercado nacional e internacional;
e) Calidad estándar. Corresponde a los parámetros mínimos para la calidad higiénica, composicional y sanitaria, relacionados directamente con el precio competitivo, que debe cumplir la leche cruda entregada por el productor a un agente económico comprador de la misma de acuerdo con una región;
f) Regiones lecheras. Para la formación y liquidación del precio de un litro de leche cruda se tendrán en cuenta las siguientes regiones lecheras:
Región 1: Cundinamarca y Boyacá.
Región 2: Antioquia, Quindío, Risaralda, Caldas y Chocó.
Región 3: Cesar, Guajira, Atlántico, Bolívar, Sucre, Córdoba, Magdalena, Norte de Santander, Santander y Caquetá.
Región 4: Nariño, Cauca, Valle del Cauca, Tolima, Huila, Meta, Orinoquia y Amazonia;
g) Bonificaciones obligatorias. Son todos aquellos pagos obligatorios adicionales al precio competitivo que se deben reconocer por parte del agente económico a sus productores de leche cruda.
Para efectos de esta resolución las bonificaciones obligatorias se reconocen y otorgan por la calidad higiénica, calidad composicional y calidad sanitaria de la leche cruda;
h) Calidad higiénica. Es la condición que hace referencia al nivel de higiene mediante el cual se obtiene y manipula la leche. Su valoración se realiza por el recuento total d e bacterias y se expresa en unidades formadoras de colonia por mililitro;
i) Calidad composicional. Es la condición que hace referencia a las características físico-químicas de la leche. Su valoración se realiza por sólidos totales o proteína y grasa, y se expresa en porcentaje por fracciones de décima;
j) Calidad sanitaria. Es la condición que hace referencia a la vacunación de los animales (fiebre aftosa y brucella) y la inscripción y certificación del hato libre de brucelosis y tuberculosis;
k) Costo por transporte. Equivale al descuento que realiza el agente económico comprador al productor de leche, por cada litro, teniendo en cuenta el tipo de vehículo y el rango de distancia planta-finca-planta;
l) Bonificaciones voluntarias. Son todos aquellos pagos voluntarios adicionales al precio competitivo y a las bonificaciones obligatorias, que se dan por parte del agente económico a sus productores de leche cruda.
METODOLOGÍA PARA EL PAGO DE LA LECHE CRUDA AL PRODUCTOR.
ARTÍCULO 2o. <Resolución derogada por el artículo 28 de la Resolución 17 de 2012> Para efectos del pago de un litro de leche cruda al productor, se aplicará la siguiente fórmula:
Pago al productor de leche cruda | = | Precio competitivo | + | Bonificaciones obligatorias y voluntarias | – | Costo de transporte |
1. Precio competitivo:
Precio competitivo | = | Precio ($) litro leche en el Mercado Interno | + | Precio ($) litro leche en el Mercado Externo |
Donde,
1.1 Mercado interno
Mercado interno | = | participación porcentual de la leche en el mercado interno | x | (precio producto referente nacional x factor de costo) |
a) Porcentaje de participación de la leche en el mercado interno: Es el porcentaje de leche cruda utilizada para uso interno, después de las exportaciones de leche y sus derivados;
b) Precio producto referente nacional: Es el precio de un litro de leche procesado ponderado por el porcentaje de participación de los productos lácteos de mayor consumo a nivel nacional, de acuerdo con el DANE;
c) Factor de costo: Es la relación entre el precio de compra de un litro de leche cruda al productor y el precio de venta de un litro de leche entera pasterizada en planta de proceso, así:
Factor de costo | = | Precio ($) de un litro de leche pagado al productor |
Precio ($) de venta de un litro de leche entera pasterizada en planta de proceso |
Precio de un litro de leche pagado al productor: Es el precio promedio ponderado por volumen y por regiones pagado por el agente económico a sus productores, para lo cual se tendrá en cuenta la información desagregada por planta de proceso.
Precio de venta de un litro de leche entera pasterizada en planta: Es el precio ponderado, por volumen, de un litro de leche entera pasterizada puesto en planta de proceso.
1.2 Mercado externo
Mercado externo | = | % participación porcentual de la leche en el mercado externo | X | precio US$ litro leche internacional | X | TRM |
a) Porcentaje de participación de la leche en el mercado externo: Es la participación de las exportaciones de leche y sus derivados dentro de la producción nacional. El porcentaje restante se consume en el mercado interno;
b) Precio US$ litro leche internacional: Es el precio del litro de leche monetizado en dólares con base en la cotización internacional del commodity leche entera en polvo, y se conforma así: Valor de un litro de leche (precio de la tonelada de leche en polvo internacional/número de litros de leche líquida) x (porcentaje del costo de la materia prima en el producto terminado).
Precio internacional de una tonelada de leche en polvo: Es el valor FOB de la tonelada de leche en polvo.
Número de litros de leche líquida: Es el número de litros utilizados para producir una tonelada de leche en polvo, cuyo promedio nacional es de 8.000 litros.
Porcentaje del costo de la materia prima en el producto terminado: Corresponde a la participación porcentual de la leche líquida en el costo de industrialización de la leche en polvo, el cual equivale al 70%;
c) Tasa representativa del mercado: Es la tasa de cambio de la moneda nacional frente a una moneda extranjera; para la presente resolución, es el precio que se paga en pesos por un dólar.
1.3 Calidad estándar
Para acceder al precio competitivo, el productor de leche deberá cumplir con los siguientes parámetros mínimos de calidad higiénica, composicional y sanitaria, a partir de 2007:
a) Calidad higiénica
Los estándares de recuento total de bacterias (UFC/ml) para cada una de las regiones son los siguientes:
| REGIÓN | RECUENTO TOTAL DE BACTERIAS |
| REGION 1 | 200.001 – 300.000 |
| REGION 2 | 200.001 – 300.000 |
| REGION 3 | 600.001 – 700.000 |
| REGION 4 | 600.001 – 700.000 |
b) Calidad composicional
Los estándares de proteína, grasa y sólidos totales, expresados como porcentaje, en fracciones de décimas, para cada una de las regiones son los siguientes:
| REGIÓN | PROTEÍNA | GRASA | SÓLIDOS |
| REGION 1 | 3,00 | 3,45 | 11,95 |
| REGION 2 | 3,10 | 3,50 | 12,10 |
| REGION 3 | 3,30 | 3,80 | 12,60 |
| REGION 4 | 3,00 | 3,45 | 11.95 |
c) Calidad Sanitaria
El estándar de calidad sanitaria exige la presentación del Registro Unico de Vacunación contra Fiebre Aftosa y Brucella.
PARÁGRAFO. Para efectos de calcular las variables que definen el precio competitivo del presente artículo, las fuentes de información y los procedimientos para el cálculo son los siguientes:
| VARIABLES DEL MERCADO INTERNO | FUENTE | PROCEDIMIENTO PARA EL CALCULO |
| Porcentaje de participación de la leche en el mercado interno. | Producción nacional estimada de litros de leche cruda – MADR. | Complemento porcentual de la participación de la leche en el mercado externo. |
| Precio producto referente nacional. | Reporte de agentes económicos la Unidad de Seguimiento de Precios. | Promedio del precio de venta en planta de proceso de los cuatro productos lácteos más representativos ponderados por el porcentaje del destino de la leche. |
| Precio de un litro de leche pagado al productor. | Porcentaje de destino de la leche cruda – DANE. Reporte de agentes económicos la Unidad de Seguimiento de Precios. | Promedio ponderado por volumen del precio de compra al productor. |
| Precio de venta de un litro de leche entera pasterizada en planta de proceso. | Promedio ponderado por volumen del precio de venta en planta de proceso para un litro de leche entera pasterizada | |
| VARIABLES DEL MERCADO EXTERNO | FUENTE | PROCEDIMIENTO PARA EL CALCULO |
| Porcentaje de participación de la leche en el mercado externo. | Producción nacional estimada de litros de leche cruda – MADR. Registro de comercio exterior – DANE. | Cociente entre la equivalencia en litros de leche líquida utilizada en los productos lácteos exportados y la producción estimada de litros de leche a nivel nacional. |
| Precio internacional de una tonelada de leche en polvo. | Departamento de Agricultura de los Estados Unidos. | Promedio aritmético de los precios de venta de una tonelada de leche en polvo para las regiones de EE.UU., Europa y Oceanía. |
| Tasa representativa del mercado | Banco de la República de Colombia. | Promedio aritmético del período analizado |
| CONSTANTES DEL MERCADO EXTERNO | FUENTE | |
| Número de litros de leche líquida. | Estimado en 8.000 litros de leche líquida para elaborar una tonelada de leche en polvo. | |
| Porcentaje del costo de la materia prima en el producto terminado. | Participación porcentual de la materia prima sobre el costo del producto terminado - estimado en un 70%. | |
2. Bonificaciones obligatorias
Al productor de leche se le reconocerán bonificaciones y/o castigos obligatorios de acuerdo con los rangos de calidad higiénica y composicional establecidos para cada una de las regiones. La calidad sanitaria se bonificará de acuerdo con el estatus sanitario del predio ganadero.
Cada agente económico comprador de leche deberá actualizar los resultados de calidad con base en las cuales liquida el precio de la leche cruda a cada uno de sus productores teniendo en cuenta el promedio móvil de las dos (2) quincenas anteriores y la quincena que es objeto del pago, para lo cual deberá analizar como mínimo cuatro (4) muestras de leche en un período de dos (2) meses.
Las bonificaciones se liquidarán de acuerdo con las siguientes tablas:
2.1 Calidad higiénica
El agente económico comprador deberá liquidar y pagar la calidad higiénica con base en los resultados del análisis de la leche cruda entregada por el productor según el rango establecido para el recuento total de bacterias (unidades formadoras de colonia/ml.) y la implementación del frío por parte del productor, así:
| REGION 1 Y REGION 2 | ||
| RANGO | ESCALA DE PAGO RECUENTO TOTAL DE BACTERIAS | ESCALA DE PAGO FRÍO |
| UFC/ml | $/Litro | $/Litro |
| 0 - 25,000 | 60 | 15 |
| 25,001 - 75,000 | 50 | 15 |
| 75,001 - 100,000 | 40 | 15 |
| 100,001 - 150,000 | 30 | 10 |
| 150,001 - 200,000 | 20 | 10 |
| 200,001 - 300,000 | 0 | 0 |
| 300,001 - 400,000 | -10 | 0 |
| 400,001 - 500,000 | -20 | 0 |
| 500,001 - 600,000 | -30 | 0 |
| 600,001 - 700,000 | -40 | 0 |
| 700,001 o más | -50 | 0 |
| REGION 3 Y REGION 4 | ||
| RANGO | ESCALA DE PAGO RECUENTO TOTAL DE BACTERIAS | ESCALA DE PAGO FRÍO |
| UFC/ml | $/Litro | $/Litro |
| 0 - 25,000 | 60 | 15 |
| 25,001 - 75 ,000 | 50 | 15 |
| 75 ,001 - 100,000 | 40 | 15 |
| 100,001 - 15 0,00 0 | 30 | 10 |
| 150,001 - 20 0,00 0 | 25 | 10 |
| 200,001 - 30 0,00 0 | 20 | 5 |
| 300,001 - 40 0,00 0 | 15 | 5 |
| 400,001 - 50 0,00 0 | 10 | 5 |
| 500,001 - 60 0,00 0 | 5 | 5 |
| 600,001 - 70 0,00 0 | 0 | 0 |
| 700,001 – 80 0,000 | -1 0 | 0 |
| 800,001 – 90 0,000 | -2 0 | 0 |
| 900,001 – 1 ,000 ,000 | -3 0 | 0 |
| 1,000,001 – 1,100,000 | -4 0 | 0 |
| 1,100,001 o más | -5 0 | 0 |
Con relación al valor a reconocer para la calidad higiénica, el recuento total de bacterias será ajustado de acuerdo con el porcentaje de incremento del precio competitivo y el valor de la bonificación obligatoria por frío, en pesos, se mantendrá constante durante este período de tiempo, 2007-2011.
La bonificación obligatoria por frío será reconocida siempre y cuando se utilicen sistemas de enfriamiento que garanticen que la temperatura de la leche cruda se mantenga entre 0 y 6 grados centígrados.
2.2 Calidad composicional
Las tablas para cada una de las regiones, con el objeto de liquidar y pagar las bonificaciones obligatorias por proteína y grasa o sólidos totales, serán elaboradas y publicadas por la Secretaría Técnica del Consejo Nacional Lácteo, de acuerdo con la información de la Unidad de Seguimiento de Precios.
PARÁGRAFO. Los descuentos o castigos aplicados en los años 2007 y 2008, para las fracciones de décimas por debajo de la calidad estándar por regiones, no se podrán realizar hasta en un rango de una décima (0,10). A partir del año 2009, el descuento se aplicará para las fracciones de décimas por debajo de la calidad estándar.
La metodología para el cálculo del pago del contenido de gramos de proteína y de grasa o gramos de sólidos totales, a partir del resultado expresado en fracciones de décimas, se realiza primero llevando las fracciones de décimas a gramos y luego calculando el valor de cada gramo, así:
Equivalencia de fracciones de décimas a gramos
Fracciones de décima x Densidad de la leche* = Décimas de gramos
Décimas de gramos x 10 = Gramos por litro
* La densidad es tomada como una constante de 1,032 gr/ml a15 0 C.
Cálculo del valor de un gramo
La relación del precio de un gramo de grasa con respecto a la proteína es de 3 a 1 (P=3G)
G = Precio gramo de grasa
P= Precio gramo de proteína
ST= Precio gramo de sólidos totales
PC= Precio competitivo
Para hallar el precio de un gramo de grasa:
(Gramos de grasa x G) + (Gramos de proteína x P) = PC
(Gramos de grasa x G) + (Gramos de proteína x 3G) = PC
((Gramos de grasa) + (Gramos de proteína x 3)) x G = PC
G = PC / ((Gramos de grasa) + (Gramos de proteína x 3))
Hallado el valor del gramo de grasa, se calcula el precio del gramo de proteína
P = 3G
Para hallar el precio de un gramo de sólidos totales:
(Gramos de sólidos totales x ST) = PC
ST = PC/ (Gramos de sólidos totales)
Para una calidad composicional superior al estándar de la región se bonificará la totalidad del valor de cada gramo. Caso contrario, se descontará el 50% del valor de cada gramo.
2.3 Calidad sanitaria
Como un incentivo para mejorar el estatus sanitario de los hatos productores de leche frente a enfermedades como la tuberculosis y la brucelosis, se establecen bonificaciones obligatorias para: La inscripción ante el ICA en los programas de hato libre de brucelosis y tuberculosis únicamente durante el año 2007, y para aquellos que sean debidamente certificados por el ICA como hato libre de una o ambas enfermedades, recibirán las siguientes bonificaciones durante el período 2007-2011:
| ESTATUS SANITARIO | $ /LITRO |
| Inscripción al programa de hato libre | 5 |
| Certificación de hato libre de una enfermedad | 10 |
| Certificación de hato libre de dos enfermedades | 20 |
3. Bonificaciones voluntarias
El agente económico comprador de leche cruda podrá pagar al productor bonificaciones voluntarias de acuerdo con sus necesidades, en función de sus productos y mercados.
4. Costo de transporte
Equivale al descuento que realiza el agente económico comprador al productor de leche por cada litro, teniendo en cuenta el tipo de vehículo y el rango de distancia planta-finca-planta, de acuerdo con la siguiente tabla:
DESCUENTOS POR TRANSPORTE
COSTO/LITRO RANGO DE KMS.*
| RANGO | TRACTO CAMIÓN | CAMIÓN GRANDE TANQUE | CAMIÓN GRANDE CANTINAS | CAMIÓN PEQUEÑO TANQUE | CAMIÓN PEQUEÑO CANTINAS |
| 0 - 25 | 9 | 15 | 22 | 29 | 49 |
| 26 - 50 | 9 | 19 | 26 | 35 | 63 |
| 51 - 75 | 10 | 22 | 30 | 41 | 71 |
| 76 - 100 | 11 | 25 | 35 | 47 | 82 |
| 101 - 125 | 11 | 27 | 39 | 54 | 93 |
| 126 - 150 | 14 | 30 | 44 | 59 | 103 |
| 151 - 175 | 15 | 34 | 47 | 66 | 114 |
| 176 - 200 | 16 | 37 | 52 | 71 | 123 |
| 201 - 225 | 17 | 39 | 55 | 77 | 136 |
| 226 - 250 | 19 | 43 | 59 | 83 | 146 |
| 251 - 275 | 19 | 45 | 65 | 91 | 156 |
| 276 - 300 | 21 | 48 | 68 | 95 | 168 |
| 301 - 325 | 22 | 52 | 74 | 102 | 178 |
| 326 - 350 | 24 | 54 | 77 | 109 | 189 |
| 351 - 375 | 25 | 56 | 81 | 114 | 200 |
| 376 - 400 | 25 | 59 | 86 | 120 | 211 |
* El rango se refiere al kilometraje total : planta-finca-planta
Este costo será descontado del precio competitivo que se le paga al productor y su incremento anual se hará de acuerdo al IPC proyectado por el Banco de la República.
ARTÍCULO 3o. EVOLUCIÓN ANUAL DE LA CALIDAD ESTÁNDAR. <Resolución derogada por el artículo 28 de la Resolución 17 de 2012> La calidad estándar higiénica y composicional se ajustará anualmente o se mantendrá igual en cada una de las regiones, según las siguientes tablas:
Tabla 1. Calidad higiénica
Calidad higiénica -Rango UFC/ml
| Región | 2007 | 2008 | 2009 | 2010 | 2011 |
| Region 1 | 200.001 - 300.000 | 200.001- 275.000 | 200.001 - 250.000 | 200.000 - 225.000 | 175.000 - 200.000 |
| Region 2 | 200.001 - 300.000 | 200.001- 275.000 | 200.001 - 250.000 | 200.000 - 225.000 | 175.000 - 200.000 |
| Region 3 | 600.001 - 700.000 | 500.001 - 600.000 | 400.001 - 500.000 | 300.001 - 400.000 | 200.001 - 300.000 |
| Region 4 | 600.001 - 700.000 | 500.001 - 600.000 | 400.001 - 500.000 | 300.001 - 400.000 | 200.001 - 300.000 |
Tabla 2. Calidad composicional
| Calidad composicional - Proteína y Grasa (%) | ||||||||||
| Región | 2007 | 2008 | 2009 | 2010 | 2011 | |||||
| Proteína | Grasa | Proteína | Grasa | Proteína | Grasa | Proteína | Grasa | Proteína | Grasa | |
| Region 1 | 3,00 | 3,45 | 3,00 | 3,45 | 3,05 | 3,50 | 3,05 | 3,50 | 3,10 | 3,55 |
| Region 2 | 3,10 | 3,50 | 3,10 | 3,50 | 3,15 | 3,55 | 3,15 | 3,55 | 3,20 | 3,60 |
| Region 3 | 3,30 | 3,80 | 3,30 | 3,80 | 3,35 | 3,85 | 3,35 | 3,85 | 3,40 | 3,90 |
| Region 4 | 3,00 | 3,45 | 3,00 | 3,45 | 3,05 | 3,50 | 3,05 | 3,50 | 3,10 | 3,55 |
| Calidad composicional (Sólidos totales)% | ||||||||||
| Región | 2007 | 2008 | 2009 | 2010 | 2011 | |||||
| Region 1 | 11,95 | 11,95 | 12,05 | 12,05 | 12,15 | |||||
| Region 2 | 12,10 | 12,10 | 12,20 | 12,20 | 12,30 | |||||
| Region 3 | 12,60 | 12,60 | 12,70 | 12,70 | 12,80 | |||||
| Region 4 | 11,95 | 11,95 | 12,05 | 12,05 | 12,15 | |||||
ARTÍCULO 4o. ACTUALIZACIÓN DE LAS VARIABLES DEL SISTEMA DE PAGO DE LECHE CRUDA AL PRODUCTOR. <Resolución derogada por el artículo 28 de la Resolución 17 de 2012> La actualización se realizará de la siguiente manera:
a) Semestral
| FECHA DE ACTUALIZACION | PERÍODO OBSERVADO | ITEMS |
| Febrero | Julio a diciembre del año inmediatamente anterior | Precio competitivo, bonificaciones obligatorias por calidad higiénica y composicional. |
| Agosto | Enero a junio del mismo año. | Precio competitivo, bonificaciones obligatorias por calidad higiénica y composicional. |
b) Anual
| FECHA DE ACTUALIZACION | ITEM |
| Febrero | Costo de transporte. |
PARÁGRAFO 1o. La actualización y publicación de las variables del sistema de pago de la leche cruda al productor, conforme con los períodos observados, la realizará la Secretaría Técnica del Consejo Nacional Lácteo.
PARÁGRAFO 2o. Para efectos de la liquidación y pago del litro de leche, entre el 16 de enero y el 30 de julio de 2007, el sistema de pago de la leche cruda al productor tendrá en cuenta el periodo observado junio-noviembre de 2006.
SISTEMA DE VERIFICACIÓN, SEGUIMIENTO Y EVALUACIÓN DE LOS LABORATORIOS PARA EL PAGO POR CALIDAD POR PARTE DE LA CORPORACIÓN COLOMBIANA DE INVESTIGACIÓN
AGROPECUARIA, CORPOICA.
ARTÍCULO 5o. OBLIGACIÓN DE EVALUAR LA CALIDAD HIGIÉNICA Y COMPOSICIONAL. <Resolución derogada por el artículo 28 de la Resolución 17 de 2012> Todo agente económico comprador de leche cruda estará obligado a evaluar la calidad higiénica y composicional de la leche de sus productores para efectos de la liquidación y pago del precio del litro de leche cruda.
Tal evaluación deberá ser efectuada por un laboratorio debidamente habilitado por Corpoica en los términos de esta resolución. El laboratorio habilitado podrá ser de propiedad del agente económico comprador o de un tercero; en este último caso, el agente económico deberá demostrar un vínculo contractual vigente que obligue al laboratorio habilitado a efectuar la evaluación de calidad de la leche.
PARÁGRAFO. Todo agente económico comprador de leche cruda en el territorio nacional deberá enviar en medio magnético a Corpoica, a más tardar el 28 de febrero de 2007, la información sobre el sistema utilizado para evaluar la calidad higiénica y composicional de la leche a sus productores, en el formato que para tal efecto establezca Corpoica.
ARTÍCULO 6o. <Resolución derogada por el artículo 28 de la Resolución 17 de 2012> <Artículo modificado por el artículo 1 de la Resolución 239 de 2007. El nuevo texto es el siguiente:> Para efectos del seguimiento, verificación y evaluación del pago de leche al productor por calidad, el Ministerio de Agricultura y Desarrollo Rural ejecutará a través de Corpoica dicha función para lo cual ha celebrado un convenio de cooperación. El convenio señalará las condiciones en las cuales Corpoica prestará los anteriores servicios.
ARTÍCULO 7o. HABILITACIÓN DE LABORATORIOS. <Resolución derogada por el artículo 28 de la Resolución 17 de 2012> Corpoica habilitará los laboratorios para el análisis de la calidad de la leche cruda que da lugar a la liquidación y pago al productor por parte del agente económico comprador de leche cruda.
PARÁGRAFO. Para los efectos de este artículo serán habilitados automáticamente los laboratorios de propiedad de los agentes económicos compradores de leche cruda o aquellos que demuestren un vínculo contractual vigente con el agente económico comprador de leche cruda.
ARTÍCULO 8o. EVALUACIÓN PERIÓDICA DE LA HABILITACIÓN. <Resolución derogada por el artículo 28 de la Resolución 17 de 2012> Corpoica evaluará semestralmente la condición de habilitación de que trata el artículo anterior, a todos los laboratorios de los agentes económicos compradores de leche cruda.
PARÁGRAFO. Esta evaluación se realizará a partir del segundo semestre de 2007.
ARTÍCULO 9o. MECANISMOS DE SEGUIMIENTO, VERIFICACIÓN Y EVALUACIÓN DEL PAGO DE LA LECHE AL PRODUCTOR POR CALIDAD. <Resolución derogada por el artículo 28 de la Resolución 17 de 2012> Para efectos del seguimiento, verificación y evaluación del pago de la leche al productor por calidad se establecen dos (2) mecanismos:
1. Habilitación de laboratorios: Este procedimiento se basa en un método de muestreo mensual de los productores de leche cruda atendidos por cada laboratorio, cuyo análisis da lugar a una calificación mensual del laboratorio, que consolidada en un período de seis meses, da lugar a la habilitación o no habilitación del laboratorio, de acuerdo con el Anexo Técnico que hace parte integral de esta resolución.
Para los efectos de la habilitación, Corpoica podrá requerir para su análisis las muestras que considere necesarias por parte de los laboratorios o de los vendedores de leche cruda directamente. En ambos casos los requ erimientos deberán ser atendidos por los solicitados de manera obligatoria.
2. Ensayo Interlaboratorio: Los laboratorios deben participar de manera obligatoria en las rondas que para el efecto establezca Corpoica, con el objeto de verificar los resultados arrojados por cada uno de los participantes en las técnicas de análisis de la leche, que dan lugar a la liquidación y pago a los productores.
ARTÍCULO 10. PÉRDIDA DE LA CONDICIÓN DE LABORATORIO HABILITADO. <Resolución derogada por el artículo 28 de la Resolución 17 de 2012> <Artículo NULO> De conformidad con la evaluación periódica de que trata el artículo octavo de esta resolución, Corpoica podrá retirar la condición de laboratorio habilitado para el pago al productor de leche cruda, en los términos establecidos en el Anexo Técnico que hace parte integral de esta resolución.
La pérdida de la condición de laboratorio habilitado en los términos anteriores implica que el agente económico, cuya evaluación venía siendo efectuada por el laboratorio que haya perdido tal calidad, debe escoger una de las siguientes alternativas:
1. Pagar al productor de leche cruda el precio competitivo vigente más un veinticinco por ciento (25%) del mismo.
2. Demostrar la evaluación de la calidad higiénica y composicional de la leche por otro laboratorio, para lo cual tendrá que mediar vínculo contractual vigente con un laboratorio habilitado.
PARÁGRAFO. El agente económico debe informar a Corpoica, a la Unidad de Seguimiento de Precios y a sus productores, la alternativa escogida en un plazo no mayor a 5 días hábiles.
ARTÍCULO 11. <Resolución derogada por el artículo 28 de la Resolución 17 de 2012> Corpoica creará un sistema de información para el seguimiento, verificación y evaluación de cada laboratorio.
SEGUIMIENTO, VERIFICACIÓN Y SANCIONES.
ARTÍCULO 12. FORMATO PARA LA LIQUIDACIÓN Y PAGO DE LA LECHE CRUDA. <Resolución derogada por el artículo 28 de la Resolución 17 de 2012> El Ministerio de Agricultura y Desarrollo Rural diseñará un formato mediante el cual el agente económico comprador de leche cruda deberá informar y liquidar los resultados de la calidad de la leche a cada uno de sus productores. Este formato deberá ser firmado por el Revisor Fiscal o Jefe de Laboratorio, con el objeto de dar certeza y validez a los resultados, que dan lugar al posterior pago.
PARÁGRAFO. La inobservancia de lo dispuesto en el presente artículo, por parte del agente económico comprador de leche, se entenderá indicio grave de infracción a las normas sobre control de precios y será reportado a la Superintendencia de Industria y Comercio.
ARTÍCULO 13. DEBER DE REPORTAR. <Resolución derogada por el artículo 28 de la Resolución 17 de 2012> Todo agente económico que compre y/o comercialice leche cruda en el territorio nacional deberá informar, en medio magnético, a la Unidad de Seguimiento de Precios, sobre el sistema de pago al productor, dentro de los diez (10) días hábiles del mes siguiente al mes en que realice la compra, de acuerdo con el formato que para tal efecto diseñe el Ministerio de Agricultura y Desarrollo Rural.
PARÁGRAFO. La inobservancia de lo dispuesto en el presente artículo, por parte del agente económico comprador de leche, se entenderá indicio grave de infracción a las normas sobre control de pre cios y será reportado a la Superintendencia de Industria y Comercio.
ARTÍCULO 14. SEGUIMIENTO AL SISTEMA DE PAGO AL PRODUCTOR DE LECHE CRUDA. <Resolución derogada por el artículo 28 de la Resolución 17 de 2012> Con base en los reportes de los agentes económicos compradores de leche cruda, la Unidad de Seguimiento de Precios realizará un seguimiento mensual del cumplimiento de los requisitos establecidos en el sistema de pago de leche cruda al productor.
PARÁGRAFO. Los agentes económicos compradores de leche cruda que, según los requisitos establecidos en esta resolución, no estén cumpliendo con el sistema de pago de la leche cruda al productor, serán reportados por la Unidad de Seguimiento de Precios a la Superintendencia de Industria y Comercio; y a Corpoica en caso de incumplimiento de lo dispuesto para la evaluación de la calidad higiénica y composicional de la leche.
ARTÍCULO 15. SANCIONES AL AGENTE ECONÓMICO COMPRADOR. <Resolución derogada por el artículo 28 de la Resolución 17 de 2012> La Superintendencia de Industria y Comercio dentro de sus funciones y competencias, adelantará las investigaciones a los agentes económicos compradores de leche cruda que no cumplan con lo dispuesto en la presente resolución, e impondrá las sanciones a que haya lugar, de conformidad con lo dispuesto en el Decreto 2876 de 1984 y en el artículo 16 del Decreto 863 de 1988.
ARTÍCULO 16. APLICACIÓN. <Resolución derogada por el artículo 28 de la Resolución 17 de 2012> Para efectos de la liquidación y pago de las bonificaciones obligatorias para la calidad composicional de la leche de la especie Bubalus bubalis (búfalos), dicha liquidación y pago por concepto de calidad composicional será discrecional de los particulares y deberá ser concertada entre los productores
e industriales.
ARTÍCULO 17. VIGENCIA. <Resolución derogada por el artículo 28 de la Resolución 17 de 2012> La presente resolución rige a partir de la fecha de su publicación y deroga todas las disposiciones que le sean contrarias.
Publíquese y cúmplase.
Dada en Bogotá, D. C., a 12 de enero de 2007.
El Ministro de Agricultura y Desarrollo Rural,
ANDRÉS FELIPE ARIAS LEIVA.
En el Diario Oficial número 46.513 del martes 16 de enero de 2007, página 2, apareció publicada la Resolución número 000012 del 12 de enero de 2007 del Ministerio de Agricultura y Desarrollo Rural, por la cual se establece el sistema de pago de la leche cruda al productor. A continuación publicamos el anexo que la acompaña, que no fue incluido en dicha edición.
ANEXO TECNICO DEL SISTEMA DE VERIFICACION, SEGUIMIENTO
Y EVALUACION DE LOS LABORATORIOS PARA EL PAGO POR CALIDAD
POR PARTE DE LA CORPORACION COLOMBIANA DE INVESTIGACION
AGROPECUARIA, CORPOICA
Introducción
Con el fin de habilitar los laboratorios de los agentes económicos compradores de leche cruda, que realizan la evaluación de la calidad higiénica y composicional para la liquidación y pago al productor, Corpoica implementará el procedimiento de verificación, seguimiento y evaluación que se explica en el presente Anexo Técnico.
Este procedimiento se basa en un método de muestreo mensual de los productores de leche cruda evaluados por cada laboratorio, cuyo análisis se califica de manera mensual, la cual consolidada en un período de seis meses, da lugar a la habilitación o no habilitación del laboratorio.
Las variables sobre las cuales se evalúan los resultados de calidad de un laboratorio (proteína y grasa o sólidos totales y recuento total de bacterias (mesófilos)), son las mismas determinadas por el agente económico comprador de leche cruda en el Formato de Liquidación y Pago de la Leche Cruda establecido en el artículo 12 de la resolución.
Método de Muestreo
Con base en la información reportada por los agentes económicos compradores de leche cruda, en el formato establecido en el parágrafo del artículo 5o de la resolución, Corpoica determinará el número de laboratorios y el número de productores de leche cruda, sobre los cuales se determinará el método de muestreo y se estimará el tamaño de la muestra.
Definido el tamaño de la muestra, Corpoica tomará las muestras de leche en finca y las enviará al laboratorio respectivo. Tanto el laboratorio evaluado como Corpoica verificarán las condiciones logísticas bajo las cuales llegan las muestras y procederán a su análisis.
Análisis de las Muestras
Para cada muestra, tanto el laboratorio evaluado como Corpoica realizarán los análisis fisicoquímico y microbiológico, de acuerdo con las variables que dan lugar al pago por calidad (proteína y grasa o sólidos totales y recuento total de bacterias).
El laboratorio evaluado debe enviar a Corpoica el resultado de los análisis, en medio magnético, en un plazo no mayor a 24 horas después de realizado el análisis.
Análisis Estadístico
Para cada una de las variables analizadas, tanto por el laboratorio como por Corpoica, para cada una de las muestras, esta Entidad realizará una prueba estadística para datos pareados1, con el fin de probar la hipótesis de no diferencia entre los resultados del laboratorio y el de Corpoica, así:
Ho = No existe diferencia estadística entre los resultados
Ha = Existe diferencia estadística entre los resultados
Se utilizará la prueba estadística t-student recomendada para distribuciones de datos pareados, con un número finito de muestras2.
El estadístico se estima de la siguiente forma:

Donde,
tc = Estadística de prueba estimada
RL = Resultado del laboratorio evaluado
RC = Resultado de Corpoica
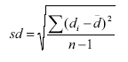
sd = Desviación estándar de las diferencias de los resultados del laboratorio evaluado y los resultados de Corpoica para la variable analizada, la cual se estima así:

Donde,
di = Diferencias de los datos pareados = RL - RC
d = Promedio de las diferencias de los datos pareados
n = número de muestras por laboratorio
Criterio de Decisión
a) Calificación de Muestras
La estadística de prueba tc se compara con un valor referencial de las tablas estadísticas de la distribución t (que dependen del margen de error y del tamaño de la muestra).
Se trabaja con un margen de error del 3.6%, que corresponde al doble del margen de error del 1.8% equivalente al resultado de los análisis de los ensayos interlaboratorios realizados por el SISLAC durante el período comprendido entre 2004 y 2006, que en términos estadísticos equivale a una confiabilidad del 96.4%.
Los resultados posibles para este análisis estadístico son:
– NR si no se rechaza la hipótesis nula, luego no existen diferencias estadísticas entre los resultados del laboratorio evaluado y los resultados de Corpoica.
No se rechaza la hipótesis nula (Ho), cuando tc es menor o igual al valor de t de las tablas.
– R si se rechaza la hipótesis nula, luego existen diferencias estadísticas entre los resultados del laboratorio evaluado y los resultados de Corpoica.
Se rechaza la hipótesis nula (Ho), cuando tc es mayor al valor de t de las tablas.
Una vez realizada la prueba t para cada una de las variables en cada muestra, se procede a registrar los resultados en una matriz para efectos de calificar la muestra.
Si en todas las variables analizadas no se rechaza la hipótesis nula, Corpoica califica la muestra como CONFORME. Si en una de las variables analizadas se rechaza la hipótesis nula, la califica como NO CONFORME.
La matriz de resultados se puede ilustrar en los siguientes ejemplos, de acuerdo con las variables que dan lugar al pago por calidad.
Ejemplo 1. Pago por proteína y grasa y recuento total de bacterias:
| Muestra | Proteínas | Grasas | Recuento Total de Bacterias | Calificación de la Muestra |
| Muestra 1 | R | R | R | No Conforme |
| Muestra 2 | NR | NR | NR | Conforme |
| Muestra n | NR | NR | R | No Conforme |
Ejemplo 2. Pago por sólidos totales y recuento total de bacterias:
| Muestra | Sólidos Totales | Recuento Total de Bacterias | Calificación de la Muestra |
| Muestra 1 | NR | R | No Conforme |
| Muestra 2 | NR | NR | Conforme |
| Muestra n | R | NR | No Conforme |
b) Calificación Mensual del Laboratorio
Para determinar el número total de muestras no conformes que se admitirán por laboratorio cada mes, se establece el Nivel Aceptable de Calidad (NAC).
Este NAC se obtiene calculando la probabilidad acumulada de rechazos para cada una de las muestras de acuerdo a un nivel de confiabilidad del 95%, es decir, para cada muestra se determinó la Curva Característica de Operación (CO), la cual muestra la probabilidad de aceptar una cierta cantidad de muestras rechazadas. Estas CO se estiman con una función de probabilidad binomial, porque está asociada a la probabilidad de rechazar o no rechazar una muestra3.
A partir de la metodología descrita anteriormente, se generó la siguiente matriz de Niveles Aceptables de Calidad:
Niveles Aceptables de Calidad
| Número de Muestras analizadas por Laboratorio | No Muestras No conformes |
| Hasta 4 | 0 |
| 5 a 15 | 1 |
| 16 a 30 | 2 |
| 31 a 50 | 3 |
| 51 a 80 | 4 |
| 81 a 100 | 5 |
| 101 a 120 | 6 |
| 121 a 140 | 7 |
| 141 a 160 | 8 |
| 160 a 180 | 9 |
| 181 a 200 | 10 |
| Mayor a 200 | 5% del tamaño de la muestra |
Los resultados posibles para este análisis son:
– El laboratorio que tenga como máximo el número de muestras No Conformes establecido en el NAC, se califica como laboratorio Conforme en el mes evaluado.
– Al laboratorio que supere el número de muestras No Conformes establecido en el NAC, se le hará un análisis por metodologías de referencia internacional para confirmar dicho resultado, tomando al azar una de las muestras No Conforme.
En caso que el laboratorio supere las pruebas realizadas por las metodologías de referencia internacional se considerará como laboratorio Conforme, en el mes evaluado.
En caso de no superar las pruebas realizadas por las metodologías de referencia internacional, se confirma el resultado No Conforme del laboratorio para el mes evaluado.
c) Habilitación del Laboratorio
Para la habilitación de un laboratorio, Corpoica consolidará las calificaciones mensuales de cada laboratorio en un período de seis meses, donde el número máximo de resultados de No Conforme permitido será UNO.
Si en este período de seis meses, el laboratorio obtiene más de una calificación mensual de No Conforme, perderá su condición de habilitado.
En caso que el laboratorio supere el máximo establecido de No Conforme antes de culminar los seis meses, el laboratorio quedará no habilitado inmediatamente.
El laboratorio que pierda su condición de habilitado deberá solicitar a Corpoica su habilitación, para lo cual Corpoica realizará el mismo procedimiento de seguimiento, verificación y evaluación descrito en el p resente anexo técnico, por un período de seis meses. En caso que el laboratorio pierda su condición de habilitado dentro del semestre evaluado, tendrá que esperar la finalización del semestre respectivo para iniciar el proceso de habilitación.
Reporte de Calificación:
Corpoica informará mensualmente a los laboratorios su calificación y les reportará semestralmente su condición de habilitado o no habilitado.
Estos reportes también deberán ser enviados por Corpoica a la Unidad de Seguimiento de Precios.
Corpoica creará un sistema de información para el seguimiento, verificación y evaluación de cada laboratorio.
En el Diario Oficial número 46.513 del martes 16 de enero de 2007, página 2, apareció publicada la Resolución número 000012 del 12 de enero de 2007 del Ministerio de Agricultura y Desarrollo Rural, por la cual se establece el sistema de pago de la leche cruda al productor. A continuación publicamos el anexo que la acompaña, que no fue incluido en dicha edición.
ANEXO TECNICO DEL SISTEMA DE VERIFICACION, SEGUIMIENTO
Y EVALUACION DE LOS LABORATORIOS PARA EL PAGO POR CALIDAD
POR PARTE DE LA CORPORACION COLOMBIANA DE INVESTIGACION
AGROPECUARIA, CORPOICA
Introducción
Con el fin de habilitar los laboratorios de los agentes económicos compradores de leche cruda, que realizan la evaluación de la calidad higiénica y composicional para la liquidación y pago al productor, Corpoica implementará el procedimiento de verificación, seguimiento y evaluación que se explica en el presente Anexo Técnico.
Este procedimiento se basa en un método de muestreo mensual de los productores de leche cruda evaluados por cada laboratorio, cuyo análisis se califica de manera mensual, la cual consolidada en un período de seis meses, da lugar a la habilitación o no habilitación del laboratorio.
Las variables sobre las cuales se evalúan los resultados de calidad de un laboratorio (proteína y grasa o sólidos totales y recuento total de bacterias (mesófilos)), son las mismas determinadas por el agente económico comprador de leche cruda en el Formato de Liquidación y Pago de la Leche Cruda establecido en el artículo 12 de la resolución.
Método de Muestreo
Con base en la información reportada por los agentes económicos compradores de leche cruda, en el formato establecido en el parágrafo del artículo 5o de la resolución, Corpoica determinará el número de laboratorios y el número de productores de leche cruda, sobre los cuales se determinará el método de muestreo y se estimará el tamaño de la muestra.
Definido el tamaño de la muestra, Corpoica tomará las muestras de leche en finca y las enviará al laboratorio respectivo. Tanto el laboratorio evaluado como Corpoica verificarán las condiciones logísticas bajo las cuales llegan las muestras y procederán a su análisis.
Análisis de las Muestras
Para cada muestra, tanto el laboratorio evaluado como Corpoica realizarán los análisis fisicoquímico y microbiológico, de acuerdo con las variables que dan lugar al pago por calidad (proteína y grasa o sólidos totales y recuento total de bacterias).
El laboratorio evaluado debe enviar a Corpoica el resultado de los análisis, en medio magnético, en un plazo no mayor a 24 horas después de realizado el análisis.
Análisis Estadístico
Para cada una de las variables analizadas, tanto por el laboratorio como por Corpoica, para cada una de las muestras, esta Entidad realizará una prueba estadística para datos pareados1, con el fin de probar la hipótesis de no diferencia entre los resultados del laboratorio y el de Corpoica, así:
Ho = No existe diferencia estadística entre los resultados
Ha = Existe diferencia estadística entre los resultados
Se utilizará la prueba estadística t-student recomendada para distribuciones de datos pareados, con un número finito de muestras2.
El estadístico se estima de la siguiente forma:
Donde,
tc = Estadística de prueba estimada
RL = Resultado del laboratorio evaluado
RC = Resultado de Corpoica
sd = Desviación estándar de las diferencias de los resultados del laboratorio evaluado y los resultados de Corpoica para la variable analizada, la cual se estima así:
Donde,
di = Diferencias de los datos pareados = RL - RC
d = Promedio de las diferencias de los datos pareados
n = número de muestras por laboratorio
Criterio de Decisión
a) Calificación de Muestras
La estadística de prueba tc se compara con un valor referencial de las tablas estadísticas de la distribución t (que dependen del margen de error y del tamaño de la muestra).
Se trabaja con un margen de error del 3.6%, que corresponde al doble del margen de error del 1.8% equivalente al resultado de los análisis de los ensayos interlaboratorios realizados por el SISLAC durante el período comprendido entre 2004 y 2006, que en términos estadísticos equivale a una confiabilidad del 96.4%.
Los resultados posibles para este análisis estadístico son:
– NR si no se rechaza la hipótesis nula, luego no existen diferencias estadísticas entre los resultados del laboratorio evaluado y los resultados de Corpoica.
No se rechaza la hipótesis nula (Ho), cuando tc es menor o igual al valor de t de las tablas.
– R si se rechaza la hipótesis nula, luego existen diferencias estadísticas entre los resultados del laboratorio evaluado y los resultados de Corpoica.
Se rechaza la hipótesis nula (Ho), cuando tc es mayor al valor de t de las tablas.
Una vez realizada la prueba t para cada una de las variables en cada muestra, se procede a registrar los resultados en una matriz para efectos de calificar la muestra.
Si en todas las variables analizadas no se rechaza la hipótesis nula, Corpoica califica la muestra como CONFORME. Si en una de las variables analizadas se rechaza la hipótesis nula, la califica como NO CONFORME.
La matriz de resultados se puede ilustrar en los siguientes ejemplos, de acuerdo con las variables que dan lugar al pago por calidad.
Ejemplo 1. Pago por proteína y grasa y recuento total de bacterias:
| Muestra | Proteínas | Grasas | Recuento Total de Bacterias | Calificación de la Muestra |
| Muestra 1 | R | R | R | No Conforme |
| Muestra 2 | NR | NR | NR | Conforme |
| Muestra n | NR | NR | R | No Conforme |
Ejemplo 2. Pago por sólidos totales y recuento total de bacterias:
| Muestra | Sólidos Totales | Recuento Total de Bacterias | Calificación de la Muestra |
| Muestra 1 | NR | R | No Conforme |
| Muestra 2 | NR | NR | Conforme |
| Muestra n | R | NR | No Conforme |
b) Calificación Mensual del Laboratorio
Para determinar el número total de muestras no conformes que se admitirán por laboratorio cada mes, se establece el Nivel Aceptable de Calidad (NAC).
Este NAC se obtiene calculando la probabilidad acumulada de rechazos para cada una de las muestras de acuerdo a un nivel de confiabilidad del 95%, es decir, para cada muestra se determinó la Curva Característica de Operación (CO), la cual muestra la probabilidad de aceptar una cierta cantidad de muestras rechazadas. Estas CO se estiman con una función de probabilidad binomial, porque está asociada a la probabilidad de rechazar o no rechazar una muestra3.
A partir de la metodología descrita anteriormente, se generó la siguiente matriz de Niveles Aceptables de Calidad:
Niveles Aceptables de Calidad
| Número de Muestras analizadas por Laboratorio | No Muestras No conformes |
| Hasta 4 | 0 |
| 5 a 15 | 1 |
| 16 a 30 | 2 |
| 31 a 50 | 3 |
| 51 a 80 | 4 |
| 81 a 100 | 5 |
| 101 a 120 | 6 |
| 121 a 140 | 7 |
| 141 a 160 | 8 |
| 160 a 180 | 9 |
| 181 a 200 | 10 |
| Mayor a 200 | 5% del tamaño de la muestra |
Los resultados posibles para este análisis son:
– El laboratorio que tenga como máximo el número de muestras No Conformes establecido en el NAC, se califica como laboratorio Conforme en el mes evaluado.
– Al laboratorio que supere el número de muestras No Conformes establecido en el NAC, se le hará un análisis por metodologías de referencia internacional para confirmar dicho resultado, tomando al azar una de las muestras No Conforme.
En caso que el laboratorio supere las pruebas realizadas por las metodologías de referencia internacional se considerará como laboratorio Conforme, en el mes evaluado.
En caso de no superar las pruebas realizadas por las metodologías de referencia internacional, se confirma el resultado No Conforme del laboratorio para el mes evaluado.
c) Habilitación del Laboratorio
Para la habilitación de un laboratorio, Corpoica consolidará las calificaciones mensuales de cada laboratorio en un período de seis meses, donde el número máximo de resultados de No Conforme permitido será UNO.
Si en este período de seis meses, el laboratorio obtiene más de una calificación mensual de No Conforme, perderá su condición de habilitado.
En caso que el laboratorio supere el máximo establecido de No Conforme antes de culminar los seis meses, el laboratorio quedará no habilitado inmediatamente.
El laboratorio que pierda su condición de habilitado deberá solicitar a Corpoica su habilitación, para lo cual Corpoica realizará el mismo procedimiento de seguimiento, verificación y evaluación descrito en el p resente anexo técnico, por un período de seis meses. En caso que el laboratorio pierda su condición de habilitado dentro del semestre evaluado, tendrá que esperar la finalización del semestre respectivo para iniciar el proceso de habilitación.
Reporte de Calificación:
Corpoica informará mensualmente a los laboratorios su calificación y les reportará semestralmente su condición de habilitado o no habilitado.
Estos reportes también deberán ser enviados por Corpoica a la Unidad de Seguimiento de Precios.
Corpoica creará un sistema de información para el seguimiento, verificación y evaluación de cada laboratorio.
PROCEDIMIENTO PARA LA CALIFICACIÓN MENSUAL DEL LABORATORIO

1. Datos pareados: Dos resultados que se obtienen de una misma muestra.
2. Snedecor G. W. y Cochran W. G. Statistical Methods. 6 th Ed. Iowa State University Press.
3. Duncan, J. A. Control de Calidad y Estadística Industrial. Ediciones Alfaomega. México D. F.