RESOLUCIÓN 32209 DE 2020
(junio 26)
Diario Oficial No. 51.367 de 06 de julio de 2020
SUPERINTENDENCIA DE INDUSTRIA Y COMERCIO
Por la cual se modifican los capítulos primero, segundo y cuarto del Título VI de la Circular Única, y se reglamenta el etiquetado y el control metrológico aplicable a productos preempacados.
EL SUPERINTENDENTE DE INDUSTRIA Y COMERCIO,
en ejercicio de facultades legales, en especial, las que confieren la Ley 1480 de 2011 y los Decretos 4886 de 2011 y 1074 de 2015, y
CONSIDERANDO:
Que el artículo 78 de la Constitución Política establece que: “La ley regulará el control de calidad de bienes y servicios ofrecidos y prestados a la comunidad, así como la información que debe suministrarse al público en su comercialización. Serán responsables, de acuerdo con la ley, quienes en la producción y en la comercialización de bienes y servicios, atenten contra la salud, la seguridad y el adecuado aprovisionamiento a consumidores y usuarios”.
Que el artículo 334 de la Constitución Política, faculta al Estado para intervenir por mandato de la ley en la producción, distribución, utilización y consumo de los bienes para racionalizar la economía con el fin de obtener el mejoramiento de la calidad de vida de los habitantes, los beneficios del desarrollo y la prevención de un ambiente sano.
Que de conformidad con lo señalado en el artículo 3o de la Ley 155 de 1959, corresponde al Gobierno intervenir en “la fijación de normas sobre pesas y medidas, calidad, empaque y clasificación de los productos, materias primas y artículos o mercancías con miras a defender el interés de los consumidores y de los productores de materias primas”.
Que en el artículo 2.2.1.7.14.1 del Decreto 1074 de 2015 - Decreto Único Reglamentario del Sector Comercio, Industria y Turismo (en adelante Decreto Único), modificado por el artículo 3o del Decreto 1595 del mismo año, se precisa que: “La Superintendencia de Industria y Comercio es la Entidad competente para instruir y expedir reglamentos técnicos metrológicos para instrumentos de medición sujetos a control metrológico (…) La Superintendencia de Industria y Comercio podrá además implementar las herramientas tecnológicas o informáticas que considere necesarias para asegurar el adecuado control metrológico e instruirá la forma en que los productores, importadores, reparadores y responsables de los instrumentos de medición, reportarán información al sistema (…) La Superintendencia de Industria y Comercio reglamentará las condiciones y los requisitos de operación de los Organismos Autorizados de Verificación Metrológica y Organismos Evaluadores de la Conformidad que actúen frente a los instrumentos de medición”.
Que mediante la Ley 33 de 1905 y los Decretos 1731 de 1967 y 3464 de 1980, ratificados con la Ley 1480 de 2011 (Estatuto del Consumidor), se establecieron las Unidades Legales de Medida para Colombia, las cuales comprenden las unidades del Sistema Internacional de Unidades (SI), sus múltiplos y submúltiplos.
Que el artículo 2.2.1.7.15.1 del Decreto Único prevé que “Sin perjuicio de las responsabilidades derivadas de otras normas, los empacadores, productores, importadores o quien ponga su marca o enseña en productos preempacados, son los responsables por el cumplimiento de los requisitos metrológicos establecidos para dichos productos y, por tanto, deberán garantizar la correspondencia entre la cantidad o el contenido enunciado y la cantidad o el contenido neto del producto hasta el momento de su comercialización a los destinatarios finales”. Del mismo modo establece el mismo artículo que “Quedan prohibidas las expresiones de “peso aproximado” o “llenado aproximado”, entre otras, que no den certeza sobre la cantidad o contenido de un producto”.
Que de conformidad con lo previsto en el artículo 2.2.1.7.15.2 del Decreto Único, “La Superintendencia de Industria y Comercio, en los casos en los cuales considere que el reglamento técnico es la mejor alternativa de solución de la problemática ligada a la insuficiente confiabilidad de las mediciones de los instrumentos de medición, podrá expedir los reglamentos técnicos metrológicos que deberán cumplir los productos preempacados y los procedimientos aplicables para su control. Igualmente, sin perjuicio de las demás obligaciones de etiquetado que deban cumplir los productos, la Superintendencia Industria y Comercio podrá expedir el reglamento técnico de etiquetado metrológico, el cual deberá contener, en los términos del siguiente artículo, el nombre o razón social del productor o importador, su identificación y su dirección física y electrónica de notificación judicial. En caso de que el empacador sea diferente de quien le impone su marca o enseña comercial o de quien lo importe, también deberá traer los datos correspondientes de aquel. El reglamento técnico de que trata este artículo se aplicará de manera suplementaria frente a regulaciones de carácter especial”.
Que el artículo 2.2.1.7.15.3 del Decreto Único, señala que “Los productos cuyos precios estén relacionados con la cantidad o el contenido de los mismos y sean preempacados antes de su comercialización, deberán indicar de forma clara, precisa, indeleble y visible a simple vista, en unidades, múltiplos y submúltiplos del Sistema Internacional de Unidades, su cantidad o contenido neto. En caso de que el producto, por sus características físicas, pueda sufrir mermas en su longitud, masa, peso o volumen en el proceso de comercialización, el responsable deberá tener en cuenta dicha merma, para informar el contenido neto ajustado a la realidad, sin que el consumidor deba soportar la carga de la merma del producto. El contenido neto de un producto no incluye el empaque del mismo ni los elementos diferentes al producto”.
Que el artículo 2.2.1.7.15.4 del Decreto Único contempla que “Un producto preempacado no debe tener fondo, paredes, tapa o cubierta falsos, ni ser construido de esa manera, total o parcialmente, que pueda inducir a error a los consumidores. La Superintendencia de Industria y Comercio podrá expedir el reglamento técnico metrológico correspondiente”.
Que en Sentencia C-621 de 2012, la Corte Constitucional declaró la exequibilidad de la Ley 1512 de 2012 “por medio de la cual se aprueba la Convención para Construir una Organización Internacional de Metrología Legal”, y manifestó que “ (…) la adhesión de Colombia a la Convención que se analiza, permite que tales disposiciones recogidas en recomendaciones de la OIML, sean parte de nuestro sistema de calidad, otorgando al país un reconocimiento internacional de sus instrumentos de medición y de los resultados producidos, lo que ubica a Colombia en un nivel de competencia técnica que resulta acorde con los artículos 6-3 y 9o de la Ley 170 de 1994, en virtud de los cuales, como un claro lineamiento de la Organización Mundial del Comercio, se adquirió el compromiso que institucionalizar los sistemas internacionales de evaluación de la conformidad y de calidad confiable, para superar los obstáculos técnicos al comercio. Adicionalmente, ceñirse a los estándares internacionales en materia de metrología legal reporta como importancia que (i) los productos sean examinados para garantizar que cumplan los reglamentos de seguridad de protección contra características peligrosas; (ii) a los productos se les haga una medición cuantitativa para brindarle seguridad y confianza al consumidor; y, (iii) se fomenta la normalización de los productos y de sus características en el plano internacional a través de las recomendaciones de la OIML, lo cual garantiza la adopción de los más estrictos y actuales estándares de calidad en beneficio de los productores y consumidores”.
Que a través de las Recomendaciones R87 versión 2016 “Quantity of products in prepackages” y R79 versión 2015 “Labelling requirements for prepackages” de la Organización Internacional de la Metrología legal -OIML, se actualizó la estandarización de los requisitos metrológicos que deben cumplir los productos preempacados y su etiquetado.
Que el CODEX STAN 94-1981 “Norma para las sardinas y productos análogos en conserva”, contiene el procedimiento para determinar el peso escurrido de este tipo de productos.
Que las anteriores normas internacionales constituyen el fundamento técnico del presente acto administrativo que reglamenta el etiquetado y el control metrológico aplicable a productos preempacados.
Que de conformidad con lo ordenado en los numerales 47, 48, 50, 51, 54 y 55 del artículo 1o del Decreto 4886 de 2011, le corresponde a la Superintendencia de Industria y Comercio, entre otras funciones, organizar e instruir la forma en que funcionará la metrología legal en Colombia, ejercer funciones de control metrológico de carácter obligatorio en el orden nacional, establecer el procedimiento e instruir la forma en que se hará la aprobación de modelo para los instrumentos de medida que cuenten con la respectiva aprobación de modelo, ejercer el control sobre pesas directamente o en coordinación con las autoridades del orden territorial, fijar las tolerancias permisibles para efectos del control metrológico, y expedir la reglamentación para la operación de la metrología legal.
Que teniendo en cuenta lo establecido en los numerales 4 y 9 del artículo 14 del Decreto 4886 de 2011, es función del Superintendente Delegado para el Control y Verificación de Reglamentos Técnicos y Metrología Legal fijar las tolerancias permisibles para efectos del control metrológico, y estandarizar métodos y procedimientos de medición y calibración, así como un banco de información para su difusión.
Que mediante Resolución 16379 del 18 de junio de 2003 la Superintendencia de Industria y Comercio reglamentó el control metrológico de contenido de producto en preempacados, la cual entró en vigencia el 26 de junio del mismo año como consecuencia de su publicación en el Diario Oficial número 45.230.
Que el artículo 2.2.1.7.6.7 del Decreto Único establece que los reglamentos técnicos expedidos serán sometidos a revisión por parte de la autoridad reguladora, con el fin de determinar su permanencia, modificación o derogatoria, por lo menos una vez cada cinco (5) años, o antes, si cambian las causas que le dieron origen.
Que en el marco de la política de mejora normativa, y en cumplimiento de lo dispuesto en el artículo 2.2.1.7.6.2 del Decreto Único, la Superintendencia de Industria y Comercio realizó un Análisis de Impacto Normativo (AIN) de la Resolución 16379 de 2003, concluyendo que a efectos de proteger los intereses de los consumidores mediante la prevención de prácticas que induzcan a error, y promover la confianza en el mercado, resulta pertinente modificar el referido reglamento técnico.
Que el mencionado AIN fue publicado para consulta pública en la página web de la Superintendencia de Industria y Comercio del 24 de agosto al 24 de septiembre de 2018.
Que mediante Resolución 92672 del 21 de diciembre de 2018 la Superintendencia de Industria y Comercio extendió la vigencia de la Resolución 16379 de 2003 hasta el 31 de diciembre de 2019; y mediante Resolución 75897 del 20 de diciembre de 2019, extendió la vigencia de la Resolución 16379 de 2003 hasta el 30 de junio de 2020.
Que a efectos de desarrollar lo dispuesto en el artículo 2.2.1.7.15.1 y siguientes del Decreto Único, y con el objetivo de fortalecer el ejercicio de las funciones a cargo de la Superintendencia de Industria y Comercio en beneficio de la defensa de los intereses y derechos de los consumidores, se hace necesario determinar los requisitos metrológicos, técnicos y administrativos que deben cumplir los productos preempacados.
Que mediante comunicación con número de radicado 19-285004 del 6 de diciembre de 2019, la Cámara de la Industria Cosmética y de Aseo de la ANDI presentó a la Superintendencia de Industria y Comercio un estudio sobre la pérdida de peso en jabones cosméticos de lavandería y de barra, con el objeto que fuese tenido en cuenta para establecer las disposiciones aplicables a este tipo de productos.
Que en el marco de la publicación del instrumento regulatorio en la notificación internacional ante la Organización Mundial del Comercio (OMC), la CAN, y nuestros socios comerciales, la Cámara de la Industria Cosmética y de Aseo de la ANDI presentó el resultado final del estudio sobre pérdida de peso de los jabones en barra, el cual fue enviado al correo electrónico del Punto de Contacto del Ministerio de Comercio, Industria y Turismo el 1 de junio de 2020, y trasladado a esta Superintendencia mediante radicado 1-2020-012964 del 5 de junio de 2020.
Que la Superintendencia de Industria y Comercio procedió a analizar y revisar los resultados del mencionado estudio, desde el punto de vista técnico y jurídico, concluyendo sobre la procedencia de incluir tolerancias por defecto para jabones en barra de tocador y lavandería.
Que de conformidad con lo establecido en el artículo 2.2.1.7.5.6 del Decreto Único, esta Superintendencia solicitó a la Dirección de Regulación del Ministerio de Comercio, Industria y Turismo, en oficio número 20-35229-0, concepto previo a la notificación internacional ante la Organización Mundial del Comercio (OMC), acerca del cumplimiento de la presente reglamentación con los lineamientos del Subsistema Nacional de la Calidad (SICAL).
Que mediante comunicación con Radicado número 2-2020-003991 del 25 de febrero de 2020 la Dirección de Regulación del Ministerio de Comercio, Industria y Turismo analizó la presente norma y conceptuó de manera favorable en el sentido de señalar que “(…) nos encontramos frente a un Proyecto que corresponde a un Reglamento Técnico Metrológico para productos Preempacados que ha utilizado como base, entre otras, dos normas internacionales OIML, propios de la metrología legal y donde efectivamente se usa la estructura utilizada y que está concordancia con la sección 15 sobre Productos Preempacados del Decreto 1595 de 2015, determinándose las condiciones especiales para tipo de medida cuyo objetivo es la verificación de las cantidades netas en unidades de masa o volumen utilizados en el Sistema Internacional con la finalidad de evitar prácticas que puedan inducir a error al consumidor. Así las cosas esta Dirección de Regulación encuentra que en principio el Proyecto de la referencia no se constituye en un Obstáculo Técnico al Comercio innecesario (…)”.
Que mediante signatura G/TBT/N/COL/241 del 4 de marzo de 2020, el Ministerio de Comercio, Industria y Turismo trasladó la notificación internacional de esta resolución ante los países miembros de la OMC, de la CAN, y a nuestros socios comerciales, y, transcurridos noventa (90) días calendario del periodo de notificación internacional, informó a esta Superintendencia que se presentaron comentarios por parte de la Cámara de la Industria Cosmética y de Aseo de la ANDI y del Consejo de la Industria de Cosméticos, Aseo Personal y Cuidado del Hogar de Latinoamérica (CASIC), los cuales fueron revisados y analizados por esta Superintendencia respecto del etiquetado de los productos preempacados, las tolerancias para los jabones en barra, empaques engañosos y la entrada en vigencia del instrumento regulatorio.
Que mediante memorando con Radicación número 20-168216 del 19 de junio de 2020, el Superintendente Delegado para la Protección de la Competencia de la Superintendencia de Industria y Comercio rindió concepto previo de abogacía de la competencia, concluyendo que “el Proyecto no representa una limitación sobre la libre competencia. Por el contrario, al tratarse de un proyecto que incorpora recomendaciones sobre estándares internacionales se promueve la confianza en el mercado respecto de la cantidad de producto ofrecido por los oferentes y propende por superar las posibles asimetrías de información entre demandantes y oferentes, induciendo de esta forma un ambiente proclive a la competencia en mercados con reglas claras en cuestiones de presentación y características del preempacado.”.
Que el presente proyecto fue publicado en la página web de la Superintendencia de Industria y Comercio entre el 30 de noviembre y 30 de diciembre de 2018, el 6 de junio y el 5 de julio de 2019, y el 3 y 17 de enero de 2020, siendo objeto de observaciones y comentarios que fueron debidamente analizados,
RESUELVE:
ARTÍCULO 1o. Modificar el Capítulo Primero del Título VI de la Circular Única de la Superintendencia de Industria y Comercio, el cual quedará así:
Capítulo Primero
Sistema Legal de Unidades en Colombia
1.1. Sistema Internacional de Unidades (SI)
El Sistema Internacional de Unidades (SI) es un lenguaje universal que permite el intercambio de información relacionada con las operaciones de medición, es decir con la metrología. La implementación del mismo garantiza eficiencia y competitividad en la industria, y previene la inducción a error al consumidor en el momento de realizar una transacción comercial.
Las magnitudes base utilizadas en el SI son longitud, masa, tiempo, corriente eléctrica, temperatura termodinámica, cantidad de sustancia e intensidad luminosa. Las unidades base del SI corresponden a: el metro, el kilogramo, el segundo, el amperio, el kelvin, el mol y la candela.
1.1.1. Símbolos para las siete unidades base del SI
Las siete unidades base del SI se enlistan en la Tabla 1, en la que se relaciona la magnitud básica frente al nombre y el símbolo de la unidad para cada una.
Tabla 1. Símbolos de magnitud y unidades básicas del SI

ARTÍCULO 2o. Modificar el Capítulo Segundo del Título VI de la Circular Única de la Superintendencia de Industria y Comercio, el cual quedará así:
Capítulo Segundo
Reglamento Técnico de Etiquetado de Productos Preempacados
2.1. Objeto
El presente capítulo tiene por objeto establecer los requisitos para el etiquetado y rotulado de productos preempacados respecto de la identificación de los actores implicados en el proceso de producción y la cantidad de producto en el preempacado, con el fin de evitar la inducción a error al consumidor. El presente capítulo se aplica de manera supletiva frente a las regulaciones de carácter especial, por lo que las normas contenidas en este Capítulo son aplicables en general al etiquetado de los productos preempacados respecto de los cuales no exista regulación especial, evento en el cual aplicará la regulación especial.
Así mismo, se adopta para asegurar que los productos preempacados indiquen de forma clara, precisa, indeleble y visible a simple vista en unidades, múltiplos y submúltiplos del Sistema Internacional de Unidades (SI) la cantidad nominal o contenido neto.
2.2. Ámbito de aplicación
El presente capítulo es aplicable a productos preempacados con cantidad nominal constante y con cantidad nominal aleatoria o variable, que declaran un contenido o cantidad nominal según lo dispuesto en la Ley 1480 de 2011, el Decreto 1074 de 2015 y las normas que los modifiquen o sustituyan.
2.3. Definiciones
Para la correcta aplicación e interpretación del presente capítulo, se deben tener en cuenta las definiciones incorporadas en este numeral, la terminología contenida en la Recomendación Internacional OIML R 79 “Requisitos de etiquetado para preempacados”, las definiciones incluidas en el artículo 2.2.1.7.2.1 del Decreto Único, modificado por el Decreto 1595 de 2015, y aquellas contenidas en el Vocabulario Internacional de Términos en Metrología Legal (VIML).
2.3.1. Cantidad neta o nominal
Cantidad de producto identificado en el preempacado, exceptuando el material de empaque. El “Material de empaque” incluye las envolturas y cualquier otro material empacado con dicho producto. Este término se relaciona con las especificaciones que van colocadas sobre el preempacado y no representa la cantidad real de un preempacado individual.
2.3.2. Etiqueta
Elemento escrito, impreso o gráfico adherido, aplicado, unido, soplado, formado, moldeado, repujado, colocado, incluido que pertenece o acompaña un preempacado que contiene cualquier producto para propósitos de colocación comercial, incluyendo la marca, identificación o suministro de cualquier información con respecto al producto o al contenido del preempacado.
2.3.3. Material de empaque
Todo aquello en el preempacado que está previsto para ser desechado después del uso del producto, excepto los elementos que se encuentran de forma natural en el producto. Para su interpretación téngase en cuenta que:
a) El término “uso” incluye el consumo.
b) El material de empaque se usa generalmente para contener, proteger, sostener (por ejemplo, un palo de paleta), entregar, preservar (por ejemplo, hielo o glaseado), transportar, suministrar información sobre el producto y ser de ayuda (por ejemplo, una bandeja para servir alimentos) mientras se usa el producto que contiene.
c) El material de empaque incluye también el recipiente, el hielo (que no se encuentra de forma natural en el producto, por ejemplo, el glaseado), los elementos sólidos colocados en el preempacado con el producto, tales como envolturas, palos para paletas, cera para envolver el queso, y un medio colocado en el preempacado junto con el producto y que está previsto para desechar después de usar el producto.
d) El material de empaque se denomina también empaque individual, tara, embalaje o material de embalaje.
2.3.4. Medio
Fluido que se coloca en el preempacado junto con el producto, ya sea separado de él o rodeándolo, y que está previsto para ser consumido o desechado después del uso del producto, excepto en el caso de elementos que se encuentran de forma natural en el producto. Para su interpretación téngase en cuenta que:
a) El término “fluido” incluye:
- Cualquier líquido, semilíquido o líquido congelado, o
- Un gas o una mezcla de gases a presión atmosférica o por encima o debajo de ella, o
- Una combinación de las anteriores.
b) El término “uso” incluye el consumo.
c) Un medio se denomina algunas veces “medio de empaque líquido”.
d) Un medio puede estar separado del producto y de otros elementos sólidos que fueron colocados en el preempacado.
2.3.5. Panel de exhibición principal
Parte de un preempacado, diseñada para ser visible en condiciones normales de exhibición para venta. Normalmente, es el panel principal o el panel frontal del preempacado y puede haber más de uno.
2.3.6. Peso escurrido
Cantidad de producto sólido o semisólido, después de que el medio líquido ha sido removido por un método previamente establecido.
2.3.7. Preempacado
Elemento individual presentado al consumidor, que consta de producto y de su material de empaque, ensamblado antes de ofrecerlo a la venta y en el cual la cantidad del mismo está expresada por un valor predeterminado en el empaque que lo envuelve completa o parcialmente, de manera que no sea posible alterar la cantidad real del producto, sin abrir el material de empaque o sin que sufra modificaciones perceptibles.
Los preempacados incluyen aquellos marcados con una cantidad nominal constante o con cantidades nominales aleatorias o variables. El término “valor predeterminado” hace referencia al valor determinado antes de que el preempacado sea ofrecido para la venta.
2.3.8. Preempacados marcados con cantidad nominal aleatoria o variable
Preempacados en los cuales el contenido es medido, empacado, rotulado individualmente y cada empaque tiene un valor diferente.
2.3.9. Preempacados marcados con cantidad nominal constante
Preempacados en los cuales el producto es presentado con rótulos o etiquetas en cantidades específicas, como por ejemplo bolsas de arroz de 2 kg, fideos de 250 g, tarros de salsa de tomate de 125 g, detergentes en bolsas de 25 g, 100 g, 250 g, etc.
2.3.10. Producto
Todo aquello en el preempacado, que no corresponde a material de empaque. Para su interpretación téngase en cuenta:
a) Un producto incluye líquidos o gases colocados en el preempacado junto con el producto, y que no están previstos para ser desechados después de su uso (por ejemplo, el aire en un mousse de chocolate).
b) Un producto incluye líquidos o gases no colocados en el preempacado junto con el producto, y que están previstos para desechar después de su uso (por ejemplo, líquido en el queso mozzarella, el aire en el gel para el cabello).
c) Un producto incluye líquidos o gases no colocados en el preempacado junto con el producto, y que no están previstos para ser desechados después de su uso (por ejemplo, los grumos que se forman en el yogur o en la miel).
2.4. Requisitos
Los productos preempacados deben llevar en su etiquetado información sobre el nombre o razón social del fabricante, importador o empacador, su identificación, su dirección física y electrónica. En caso de que el empacador sea una persona diferente de quien impone su marca o enseña comercial o de quien lo importe, también deberá informarse los datos correspondientes de aquel.
2.4.1. Declaraciones de cantidad
2.4.1.1. El preempacado debe llevar una declaración de la cantidad nominal del producto en el panel de exhibición principal.
2.4.1.2. Para los productos empacados en medio líquido, se debe declarar la masa total del contenido del producto preempacado, y la masa nominal del contenido sólido debe ir acompañada de la expresión “peso escurrido”.
2.4.1.3. La cantidad neta o nominal:
a) Se debe expresar en el Sistema Internacional de Unidades (SI), de acuerdo con el Anexo 1.
b) Cuando se trata de elementos que se pueden contar, se debe expresar en números enteros.
2.4.1.4. La declaración de cantidad se debe expresar así:
a) En unidades de volumen, si el producto es líquido.
b) En unidades de masa, si el producto es un sólido, un gas o un gas licuado.
c) En unidades de masa, volumen o ambas, si el producto es semisólido o viscoso.
d) En número de elementos que se pueden contar, caso en el cual, debe ser identificable claramente que esta es la declaración de cantidad. Para identificar con claridad la declaración de cantidad se puede hacer de la siguiente manera: “50 fósforos”; “20 cigarrillos”; “3 porciones”.
e) En cantidades basadas firmemente en el uso general establecido y en la costumbre comercial, si estas cantidades brindan información exacta y adecuada al comprador. Por ejemplo, se puede hacer la declaración de contenido de un líquido por masa, o de un producto sólido, semisólido o viscoso por volumen, o se puede hacer un conteo numérico.
f) Para todas las unidades de medición, exceptuando la masa y los productos vendidos por unidades, la cantidad del producto se debe expresar a la temperatura de referencia estándar de 20 °C. Sin embargo, la cantidad de productos congelados debe ser la cantidad a la temperatura exigida o especificada por el fabricante para mantener su composición o la consistencia en la que se usan habitualmente. La temperatura de referencia no tiene que aparecer en la etiqueta.
g) En unidades de masa o de volumen, o ambas, si es en aerosol, siempre y cuando el propelente de los recipientes de aerosoles expulsado con el producto esté incluido como parte del producto. Si se declaran tanto la masa como el volumen, ambos deben cumplir los requisitos del reglamento técnico metrológico aplicable a productos en preempacado.
h) Además de la declaración del contenido neto, en los alimentos envasados en un medio líquido, deberá indicarse en unidades del SI el peso escurrido del alimento, de acuerdo con lo señalado en el numeral 2.4.1.2. Para efectos de este requisito, por medio líquido se entiende: Agua, soluciones acuosas de azúcar o sal, zumos (jugos) de frutas y hortalizas, en frutas y hortalizas en conserva únicamente o vinagre, solos o mezclados, aceite, entre otros.
2.4.2. Presentación de la información
2.4.2.1. La información sobre la declaración de cantidad debe estar impresa, ser legible, que contraste notoriamente con el fondo y con el resto de información del preempacado, y debe estar ubicada sobre el panel de exhibición principal, de acuerdo con alguna de las indicaciones señaladas en el Anexo 2.
Cuando la declaración de cantidad aparece en una etiqueta adhesiva impresa por un instrumento de pesaje de funcionamiento no automático sujeto a control metrológico legal (balanza) para uso en comercio, la altura de la indicación debe ser la aceptada en el momento de aprobación del tipo de instrumento.
En los casos en que aparece más de una declaración de cantidad en el preempacado, cada declaración de cantidad debe cumplir los requisitos pertinentes.
En los casos en que la información sobre el contenido nominal del producto preempacado sea declarado mediante un sticker adherido al material de empaque, el productor, importador y/o empacador debe asegurar que los rótulos que se adhieran no se puedan remover o separar.
2.4.2.2. Cuando la declaración de cantidad esté grabada o moldeada sobre la superficie del preempacado, toda la información exigida se debe colocar en cualquier otra parte de la superficie o en una etiqueta, de manera que sea notoria, fácil de leer y entender.
2.5. Prácticas engañosas
2.5.1. Generalidades
La etiqueta de un preempacado no debe contener ninguna información ni declaración ambigua sobre la cantidad de producto, que induzca en error a un consumidor. Esto incluye las expresiones ambiguas prohibidas en el Numeral 1.3 del Anexo 1.
De igual manera, no se deben utilizar expresiones tales como “peso aproximado” o “llenado aproximado”, así como otras que no den certeza sobre la cantidad o contenido de un producto.
2.5.1.1. Duplicación de información
Si un preempacado tiene más de un panel de exhibición principal, la declaración de cantidad debe indicarse en cada uno de ellos, de acuerdo con los requisitos estipulados en este Capítulo.
2.6. Condiciones de etiquetado para Papel Tisú
El “Papel Tisú” es un tipo de papel cuyas características de suavidad, elasticidad y absorción responden a las necesidades provenientes del uso doméstico y sanitario. Se caracteriza por ser de bajo peso y en toda su superficie base presenta una microarruga llamada crepado, la que permite, entre otras cosas, disponer de un papel más suave.
Dicho tipo de papel, es utilizado en productos de higiene personal (papel higiénico, pañales, pañuelos), en el ámbito doméstico (rollos de papel de cocina, servilletas, toallas de papel para limpieza) y como material sanitario y de limpieza industrial.
Por lo anterior, respecto de dicho producto se deberá declarar sus respectivas dimensiones y contenido nominal así:
a) Longitud total (m)
b) Ancho (cm)
c) Peso neto (g)
d) Cantidad por unidad
2.7. Anexos. Hacen parte integral del presente capítulo los siguientes documentos: El Anexo número 1 “UNIDADES DE MEDICIÓN Y SÍMBOLOS” y el Anexo número 2 “TAMAÑO DE LOS CARACTERES Y NÚMEROS PARA LA DECLARACIÓN DE CANTIDAD EN LOS PREEMPACADOS”.
ARTÍCULO 3o. Modificar el Capítulo Cuarto del Título VI de la Circular Única de la Superintendencia de Industria y Comercio, el cual quedará así:
Capítulo Cuarto
Reglamento Técnico Metrológico Aplicable a Productos Preempacados
4.1. Objeto
El presente capítulo tiene por objeto establecer los requisitos metrológicos para los productos preempacados etiquetados en cantidades nominales constantes predeterminadas de masa, volumen, longitud, área o cantidad. Además, tiene por objeto asegurar que los productores, empacadores, importadores y quien ponga su marca o enseña en los productos preempacados, cumplan con los requisitos metrológicos establecidos para dichos productos, y por tanto, garantizar la correspondencia entre la cantidad o el contenido enunciado y la cantidad o el contenido neto del producto hasta el momento de su comercialización evitando así la inducción a error al consumidor.
El presente capítulo fija los planes y procedimientos de muestreo que deben ser usados por la Superintendencia de Industria y Comercio y las alcaldías en su jurisdicción, para verificar la cantidad o contenido enunciado de producto en los preempacados, el cual deberá corresponder con la cantidad o el contenido neto del producto y con la manera de informarlo.
Los planes de muestreo utilizados en el presente capítulo no están dirigidos a los procesos de control de calidad de productores y/o empacadores.
PARÁGRAFO. Los productos preempacados con peso variable y/o aleatorio no están sujetos al cumplimiento de los requisitos establecidos en el presente capítulo. Sin embargo, los instrumentos de pesaje de funcionamiento no automático utilizados para el empaque de este tipo de preempacados están sometidos al correspondiente control metrológico legal.
4.2. Ámbito de aplicación
Los requisitos del presente capítulo son aplicables a productos preempacados con cantidad nominal constante, según lo dispuesto en la Ley 1480 de 2011 y el Decreto 1074 de 2015 y las normas que los modifiquen o sustituyan.
4.3. Definiciones
Para la correcta aplicación e interpretación del presente capítulo que establece los requisitos del control metrológico de productos preempacados, se deberán tener en cuenta las definiciones incluidas en el artículo 2.2.1.7.2.1 del Decreto Único, modificado por el Decreto 1595 de 2015. Adicionalmente, se tendrá en cuenta la terminología sobre productos preempacados contenida la Recomendación Internacional OIML R 87 Cantidad de producto preempacado que se relaciona a continuación.
4.3.1. Cantidad nominal o neta
Cantidad de producto en un preempacado declarada en la etiqueta. Para su interpretación téngase en cuenta:
a) El símbolo “Qnom” se usa para designar la cantidad nominal.
b) La cantidad nominal de producto se denomina también “cantidad neta”, “contenido neto”, “masa neta” o “volumen neto”.
c) La cantidad nominal se debe declarar de acuerdo con lo que se establece en el capítulo segundo de la presente Resolución.
4.3.2. Cantidad real
Cantidad de producto que contiene un preempacado y que se determina por medición. La cantidad real en un preempacado “i” se designa mediante el símbolo Qi o qi.
4.3.3. Deficiencia tolerable
Deficiencia permitida en la cantidad nominal de producto en un preempacado. Para su interpretación téngase en cuenta:
a) El símbolo “T” se usa para designar la deficiencia tolerable.
b) La deficiencia tolerable se denomina también error negativo tolerable, límites de error o tolerancias.
c) Por convención, T es un número positivo, pero al utilizarlo representa un valor negativo de cantidad, o error negativo.
4.3.4. Error
4.3.4.1. Error individual del preempacado
Diferencia entre la cantidad real de producto en un preempacado y su cantidad nominal. El error individual del preempacado para un preempacado “i” se designa mediante el símbolo Ei o ei y se puede calcular mediante Ei = Qi - Qnom o mediante ei = qi - Qnom.
4.3.4.2. Error promedio
Suma de los errores individuales de los preempacados teniendo en cuenta su signo aritmético, dividida por el número de preempacados en la muestra o lote de inspección.
El error promedio para todos los preempacados en una muestra con tamaño de muestra n se designa mediante el símbolo eave.
El error promedio para todos los preempacados de un lote de inspección con N preempacados se designa mediante el símbolo Eave.
4.3.4.3. Error T1
Deficiencia que es superior a la deficiencia tolerable aplicable (T) (ver numeral 4.6) pero que no es superior al doble de la deficiencia tolerable aplicable (2T) para la cantidad nominal dada.
Error T1: (Qnom - 2T) = Qi < (Qnom - T).
4.3.4.4. Error T2
Deficiencia que es superior al doble de la deficiencia tolerable aplicable (2T) para la cantidad nominal dada.
Error T2: Qi < (Qnom - 2T)
4.3.5 Factor de corrección de la muestra (SCF)
Factor calculado usando:
a) La función de distribución acumulativa t Student inversa (tp, n-1), en donde p es la probabilidad equivalente a 0,005 y (n-1) son los grados de libertad, y
b) Un factor de corrección de población finita (N - n)/(N - 1), en donde n es el tamaño de la muestra y N es el tamaño del lote de inspección.

SCF tiene siempre un signo positivo porque tp, n-1 tiene un signo negativo para p =0,005.
4.3.6. Glaseado
Aplicación de una capa protectora de hielo que se forma en la superficie de un producto congelado mediante su rociado o inmersión en agua potable o con aditivos.
4.3.7. Línea de producción
Conjunto de operaciones o etapas secuenciales en las que se organiza un proceso para la fabricación de un producto.
4.3.8. Lote de inspección
Grupo identificado de preempacados que se inspeccionarán con base en los requisitos metrológicos establecidos en el presente capítulo. Para su interpretación téngase en cuenta:
a) El símbolo “N” se usa para designar el tamaño del lote.
b) En este capítulo, las letras en mayúscula se usan como símbolos relacionados con el lote de inspección.
c) Los lotes de inspección se denominan también “tanda” o “bache”.
4.3.9. Material de empaque
Ver definición establecida en el numeral 2.3.3
4.3.9.1 Tara seca no usada.
Material de empaque no usado de un preempacado.
4.3.9.2 Tara seca usada.
Material de empaque que se ha usado como parte de un preempacado, que ha sido separado del producto y se ha limpiado completamente para aproximarlo al estado de un material de empaque nuevo.
4.3.10. Medio
Ver definición establecida en el numeral 2.3.4
4.3.11. Muestra
Conjunto de preempacados tomados aleatoriamente de un lote de inspección que se va a someter a inspección, para determinar la conformidad con los criterios especificados, con el fin de tomar decisiones acerca de la aceptación o rechazo de todo el lote de inspección.
En este capítulo las letras en minúscula se usan como símbolos relacionados con la muestra.
4.3.12. Muestreo aleatorio
Procedimiento de muestreo en el cual los preempacados que se van a incluir en una muestra se escogen aleatoriamente del lote de inspección, es decir, cada preempacado del lote de inspección tiene igual probabilidad de ser seleccionado para ser incluido en la muestra. También se denomina “muestreo sin reemplazo”.
4.3.13. Preempacado
Elemento individual presentado al consumidor, que consta de producto y de su material de empaque, ensamblado antes de ofrecerlo a la venta y en el cual la cantidad del mismo está expresada por un valor predeterminado en el empaque que lo envuelve completa o parcialmente, de manera que no sea posible alterar la cantidad real del producto, sin abrir el material de empaque o sin que sufra modificaciones perceptibles.
Para el propósito de este capítulo, el término “preempacado” incluye los preempacados marcados con una cantidad nominal constante, y por tanto excluye los preempacados marcados con cantidades nominales aleatorias o variables.
4.3.14. Preempacado engañoso
Preempacado elaborado, formado, presentado, marcado o llenado de alguna manera que pueda inducir a error al consumidor acerca de la cantidad de su contenido, sin perjuicio de lo establecido en otras normas.
4.3.14.1. Envase Primario
Todo recipiente que contiene y está en contacto directo con el producto.
4.3.14.2 Envase Secundario
Caja, estuche, termo-encogido o cualquier otro sistema que contiene el envase primario, cuya función es la protección del mismo, hasta su entrega al consumidor.
4.3.15. Preempacado inadecuado
Preempacado que contiene una cantidad real (ver numeral 4.3.2.) que es inferior a la cantidad nominal (ver numeral 4.3.1). Un preempacado inadecuado también se denomina preempacado no conforme.
4.3.16. Preempacado marcado con cantidad nominal aleatoria o variable
Ver definición establecida en el numeral 2.3.8.
4.3.17. Preempacado marcado con cantidad nominal constante
Ver definición establecida en el numeral 2.3.9.
4.3.18. Producto
Ver definición establecida en el numeral 2.3.10.
4.3.19. Tamaño de muestra
Número de preempacados tomados de un lote de inspección e incluidos en una muestra. El símbolo “n” se usa para designar el tamaño de la muestra.
4.4. Acrónimos y símbolos
| AGM | Masa Bruta Real, equivalente a la masa real del preempacado. |
| ATM | Masa Promedio de Tara, equivalente a la masa real del material de empaque. |
| C | Constante arbitraria. |
| CGM | Masa Bruta Calculada. |
| di | Diferencia entre el error individual del preempacado y el error promedio (di = ei - eave). |
| Eave y eave | Promedio de errores para todos los preempacados en un lote de inspección y en una muestra, respectivamente (Eave = Qave - Qnom y eave = qave - Qnom). |
| Ei y ei | Error en la cantidad de producto en un preempacado individual en un lote de inspección y en una muestra, respectivamente (Ei = Qi - Qnom y ei = qi - Qnom). |
| HT1 y HT2 | Proporción de preempacados con errores T1 y T2, respectivamente, en el lote de inspección. HTi = NTi / N (en donde i = 1 o 2). |
| hT1 y hT2 | Proporción de preempacados con errores T1 y T2, respectivamente, en una muestr |
| k1 | Constante arbitraria que hace referencia al número máximo de preempacados con error T1, que se especifican en la columna 3 de la Tabla 3. |
| M, Me1 y Me2 | Masas de producto escurrido, tamiz limpio y tamiz más el producto después de drenado. |
| Mw | Masa (en g) de un peso estándar con una densidad de 8,0 g/ cm3 |
| N | Tamaño de lote equivalente al número total de preempacados contenidos en un lote de inspección. |
| n | Tamaño de muestra equivalente al número total de preempacados en una muestra. |
| NT1 y NT2 | Número de preempacados con errores T1 y T2, respectivamente, en el lote de inspección. |
| nT1 y nT2 | Número de preempacados con errores T1 y T2, respectivamente, en la muestra. |
| NormsDist (Z) | Función de distribución normal acumulativa, en Excel, que da una probabilidad (P) para un valor Z. Se supone que la desviación estándar y el promedio de la distribución son 1 y 0, respectivamente. Los valores típicos dados por esta función son: NormsDist (-8) = 0, NormsDist (0) = 0,5 and NormsDist (+8) = 1. |
| NormsDist (0) = | 0,5 y NormsDist (+8) = 1. |
| NormsInv (P) | Función de distribución normal acumulativa inversa, en Excel, que da un valor Z para una probabilidad (P). |
| P(x) | Función de probabilidad en la cual se satisface un criterio x. |
| Pac | Probabilidad de aceptar un lote de inspección. |
| Qave | Valor medio de cantidades reales (Qi) en todos los preempacados en un lote de inspección. |
| qave | Valor medio de cantidades reales (qi) en todos los preempacados en una muestra. |
| Qi y qi | Cantidad real en un preempacado individual en un lote de inspección y en una muestra, respectivamente. |
| Qnom | Cantidad nominal declarada en la etiqueta de un preempacado. |
| Redondeo (x) | Método de redondeo normal, en el cual se redondea un valor real (x) mayor o igual a [J-0,5] y menor que [J + 0,5], a un entero J. Cuando esta función se usa en Microsoft Excel, se debería adicionar un parámetro de cero como 'Redondeo (x, 0)' |
| s | Desviación estándar de la muestra para cantidades reales (Qi) en todos (o en un grupo) de preempacados contenidos en una muestra. |
| SCF | Factor de Corrección de la Muestra definido en 4.3.5, que siempre es un valor positivo. |
| T | Deficiencia tolerable definida en la Tabla 2. |
| tp, f | Función de distribución acumulativa t Student inversa con dos parámetros de probabilidad (p) y número de libertad (f). |
| Z | Variable aleatoria normal estándar o puntaje z que se usa para calcular la probabilidad de que ocurra un puntaje dentro de una distribución normal, y facilita la comparación de los puntajes de diferentes distribuciones normales [puntaje z = (x - media)/desviación estándar)] |
| í | Valor medio de la población de un lote de inspección. |
| ó | Desviación estándar de la población para cantidades reales (Qi) en todos los preempacados contenidos en un lote de inspección. |
| ñ | Densidad del producto. |
4.5. Requisitos metrológicos para preempacados
4.5.1. Generalidades
Los productos preempacados deben cumplir los requisitos de los numerales 4.5.2 y 4.5.3 a cualquier nivel de distribución, incluido el punto de empaque, importación, distribución, comercialización y venta al por mayor y detal.
4.5.2. Requisito del promedio
La cantidad real promedio de producto en un preempacado debe ser igual o superior a la cantidad nominal. Los numerales 4.7.2 y 4.7.3 establecen los criterios que se deben cumplir si la cantidad real promedio de producto en preempacados en un lote de inspección se estima por muestreo.
4.5.3. Requisitos de los preempacados individuales
4.5.3.1. La cantidad real de producto en un preempacado debe reflejar con exactitud la cantidad nominal, pero se deben permitir deficiencias tolerables (T) (ver el numeral 4.6 y la Tabla 2).
4.5.3.2. Un grupo homogéneo de preempacados no debe tener más del 2,5% de preempacados con errores T1.
Los numerales 4.7.2 y 4.7.3 establecen los criterios que se deben cumplir si este requisito se evalúa por muestreo de preempacados de un lote de inspección.
4.5.3.3. Ningún preempacado debe tener un error T2.
4.6. Deficiencias tolerables
Para todos los preempacados, las deficiencias tolerables (T) se especifican en la Tabla 2. El numeral 4.5.3 establece los requisitos para la aplicación de las deficiencias tolerables a preempacados individuales en la muestra.
Tabla 2. Deficiencias tolerables en el contenido real de preempacados
| Cantidad nominal de producto (Qnom) en g o mL | Deficiencia tolerable (T)a | |
| Porcentaje de Qnom | g o mL | |
| 0 a 50 | 9 | - |
| 50 a 100 | - | 4,5 |
| 100 a 200 | 4,5 | - |
| 200 a 300 | - | 9 |
| 300 a 500 | 3 | - |
| 500 a 1 000 | - | 15 |
| 1 000 a 1 0000 | 1,5 | - |
| 10 000 a 15 000 | - | 150 |
| Por encima de 15 000 | 1 | - |
a Los valores T se redondean al siguiente 0,1 de gramo o mililitro para Qnom inferior o igual a 1 000 g o 1 000 mL y al siguiente gramo o mililitro entero para Qnom mayor de 1 000 g ó 1 000 mL.
| Cantidad nominal de producto (Qnom) en longitud | Porcentaje de Qnom |
| Qnom = 5 m | No se permite deficiencia tolerable |
| Qnom > 5 m | 2 |
| Cantidad nominal de producto (Qnom) en área | Porcentaje de Qnom |
| Todas las Qnom | 3 |
| Cantidad nominal de producto (Qnom) en elementos que se pueden contar | Porcentaje de Qnom |
| Qnom = 50 elementos | No se permite deficiencia tolerable |
| Qnom > 50 elementos | 1b |
b Calcule el valor de T multiplicando la cantidad nominal por 1% y redondeando el resultado al siguiente número entero superior. El valor puede ser mayor del 1% debido al redondeo, pero se acepta porque los productos son elementos enteros y no se pueden dividir.
4.7. Ensayo de referencia para requisitos metrológicos
4.7.1. Requisitos generales de la inspección
4.7.1.1. La Superintendencia de Industria y Comercio y las alcaldías deben llevar a cabo ensayos para determinar si los preempacados cumplen los requisitos del presente capítulo. Los ensayos se pueden realizar haciendo el muestreo de preempacados al nivel de la distribución, incluidos el punto de empaque, importación, distribución, comercialización y venta al por mayor y detal.
4.7.1.2. Un lote de inspección tomado de la línea de producción en la etapa de empaque debe estar compuesto de todos los preempacados no rechazados por un sistema de verificación. Se deben impedir ajustes diferentes de los realizados en la operación normal, u otras acciones correctivas en el proceso de producción y empaque de los preempacados. Las muestras de preempacados deben ser tomadas por el empacador después del punto de verificación final.
4.7.1.3. Las incertidumbres expandidas (al nivel de confianza k = 2) asociadas con los instrumentos de medición y los métodos de ensayo usados para determinar las cantidades no deben exceder 0,2 T. Algunos ejemplos de fuente de incertidumbre incluyen la repetibilidad en el pesaje y los instrumentos de medición, las variaciones en el material de empaque y las fluctuaciones en las determinaciones de densidad causadas por las diversas cantidades de sólidos en un líquido, o por cambios en la temperatura.
4.7.1.4. Una inspección consiste en la verificación de los tres valores siguientes, independientemente de que se use o no una muestra para determinar la conformidad de un lote de inspección:
a) El error promedio del lote (ver numeral 4.5.2).
b) El número de preempacados inadecuados o no conformes en el lote de inspección que tienen un error T1 (ver numeral 4.5.3.2).
c) El número de preempacados inadecuados o no conformes en el lote de inspección que tienen un error T2 (ver numeral 4.5.3.3).
4.7.1.5. Un lote de inspección es:
a) Aceptado, si cumple los requisitos establecidos para los tres parámetros anteriores, o
b) Rechazado, si no cumple uno o más de los requisitos.
4.7.2. Control por muestreo de lotes de inspección
4.7.2.1. Requisitos metrológicos cuando se hace el muestreo de un lote de inspección.
Los ensayos para la aceptación o rechazo de lotes de inspección se deben llevar a cabo usando muestreo aleatorio (ver los numerales 4.3.12 y 4.7.3). Los lotes de inspección deben estar compuestos por preempacados que hayan sido producidos y empacados en condiciones que se presume han sido uniformes (homogéneas). Del lote de inspección se debe seleccionar una muestra aleatoria de tamaño n. Los parámetros de los numerales 4.5.2 y 4.5.3 se deben aplicar a la muestra de la siguiente manera:
a) Requisito del promedio. El promedio de las cantidades reales de producto en los preempacados de un lote de inspección debe ser al menos igual a la cantidad nominal. La probabilidad de rechazar incorrectamente un lote de inspección que cumple este requisito no debe ser superior al 0,5%. La probabilidad de rechazar correctamente un lote de inspección con una cantidad real promedio inferior a Qnom - 0,74 ó debe ser al menos del 90%.
ó es la desviación estándar de toda la población del lote de inspección, mientras que “s” es la desviación estándar de la muestra de tamaño n.
b) Requisito del preempacado individual. La cantidad real de producto en un preempacado debe reflejar con exactitud la cantidad nominal. Sin embargo, se deben permitir desviaciones (ver numeral 4.5.3). En el caso que un lote de inspección contenga 2,5% de preempacados con errores T1, la probabilidad de aceptación al ensayar las muestras debe ser al menos del 95%. En el caso que un lote de inspección contenga 9% de preempacados con errores T1 y T2, la probabilidad de rechazar correctamente al ensayar las muestras debe ser al menos del 90%.
Es posible que los criterios numéricos (2,5% y 9%) no se apliquen estrictamente cuando se redondea un número de preempacados inadecuados (ver el numeral 4.9).
4.7.3. Principios estadísticos del control por muestreo
4.7.3.1. Ensayo del requisito del promedio
![]()
En donde “s” es la desviación estándar de la muestra de los errores individuales, y SCF se encuentra en la columna 4 de la Tabla 3.
a) Con este ensayo se garantiza que la probabilidad de rechazar incorrectamente un lote de inspección que satisface el requisito establecido en el numeral 4.7.2.1 a) no sea mayor del 0,5%.
b) Este ensayo garantiza también que los lotes con cantidad real promedio inferior a Qnom - 0,74 ó se rechazarán correctamente con una probabilidad de al menos el 90%.
4.7.3.2. Ensayo del requisito para preempacados individuales, para errores T1
Rechace el lote si el número de preempacados que tienen un error T1 es mayor que el número de la columna 3 de la Tabla 3 o columna 3 o 7 del Anexo 3 “planes de muestreos detallados” según corresponda.
a) Con este ensayo se garantiza que la probabilidad de rechazar incorrectamente un lote de inspección que satisface los criterios establecidos en el numeral 4.7.2.1 b) no sea mayor del 5%.
b) Este ensayo garantiza también que un lote que tenga el 9% de preempacados con errores T1 y T2 sea rechazado correctamente con una probabilidad de al menos el 90%.
4.7.3.3. Ensayo del requisito de preempacados individuales, para errores T2
Rechace el lote si el número de preempacados que tienen un error T2 es mayor que cero. En la muestra no debe haber preempacados inadecuados que tengan un error T2.
4.8. Tamaño del lote para propósitos de inspección
4.8.1. Cuando las muestras de preempacados se toman de la línea de producción, el tamaño del lote de inspección debe ser igual a la producción máxima de la línea de producción en la etapa de empaque por hora, sin ninguna restricción en cuanto al tamaño del lote de inspección.
PARÁGRAFO. Cuando no sea posible determinar la cantidad de productos empacados en una hora porque la producción es muy pequeña, el tamaño del lote de inspección se determinará de acuerdo con la cantidad producida en un bache o tanda.
4.8.2. Cuando las muestras de preempacados se toman en las instalaciones del empacador, pero no de la línea de producción (en donde se conoce la producción por hora), el tamaño del lote de inspección debe ser igual a la producción máxima por hora en la etapa de empaque, o 100 000, de estos valores el menor.
PARÁGRAFO. Cuando no sea posible determinar la cantidad de productos empacados en una hora porque la producción es muy pequeña, el tamaño del lote de inspección se determinará de acuerdo con la cantidad producida en un bache o tanda.
4.8.3. Cuando las muestras de preempacados no se toman en las instalaciones del empacador, y no se conocen ni la producción en la etapa de empaque por hora ni el tamaño del lote original, el tamaño del lote de inspección lo debe definir o establecer la Superintendencia de Industria y Comercio y/o las alcaldías a partir del número de preempacados disponibles, pero no debe ser mayor de 100 000. El lote de inspección se debe considerar homogéneo, es decir que corresponda a un mismo lote de producción.
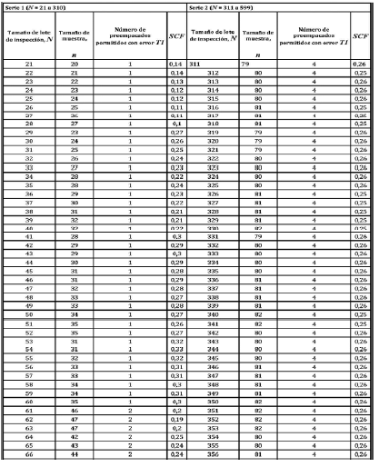
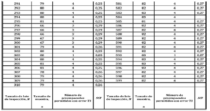
4.9. Características del muestreo
Para un tamaño de lote de inspección dado (N), la Tabla 3 especifica el tamaño de muestra mínimo (n), el número aceptable de preempacados con errores T1 y el factor de corrección de la muestra (SCF).
Para N menores a 600 en el Anexo 3 se presentan en detalle los planes de muestreo.
Tabla 3. Plan de muestreo para números discretos de tamaños de lotes de inspección N
| Tamaño de lote de inspección, N | Tamaño de muestra, n | Número de preempacados permitidos con error T1 | SCF | |
| 20 o menos | Inspección total | 0 | NA | |
| 40 | 32 | 1 | 0,22 | |
| 60 | 35 | 1 | 0,30 | |
| 80 | 47 | 2 | 0,25 | |
| 100 | 49 | 2 | 0,28 | |
| 200 | 64 | 3 | 0,27 | |
| 300 | 67 | 3 | 0,29 | |
| 400 | 81 | 4 | 0,26 | |
| 500 | 81 | 4 | 0,27 | |
| 600 a 100 000 | 98 | 5 | 600 a 656 | 0,24 |
| 657 a 1 261 | 0,25 | |||
| 1 262 a 31 094 | 0,26 | |||
| 31 095 a 100 000 | 0,27 | |||
En la tabla anterior se usa el método de redondeo normal, Redondeo (x), indicado en el numeral 4.4.
La tabla anterior se obtuvo usando el procedimiento que se indica a continuación, para calcular el número de preempacados (NT1, NT2 y NT1+T2) contenidos en el lote de inspección. Las funciones NormsDist (Z) y NormsInv (P) se explican en el numeral 4.4.
NT1 = Redondeo [N {HT1+T2 - NormsDist (2 NormsInv (HT1+T2))}]
NT2 = Redondeo [N NormsDist {2 NormsInv (HT1+T2)}]
NT1+T2 = NT1 + NT2
4.10. Procedimientos
4.10.1. Procedimiento de examen cuando se usa muestreo
4.10.1.1. Generalidades
El presente procedimiento está destinado a verificar la cantidad de producto en los preempacados por medio de muestras tomadas de un lote de inspección, para verificar la conformidad con el numeral 4.5. “Requisitos metrológicos para preempacados”.
Cuando se realice control metrológico a la totalidad de un lote de inspección (no se realiza muestreo), se aplicarán los requisitos del numeral 4.5, por lo tanto no se tendrá en cuenta un Factor de corrección SCF y no se permitirá unidades de preempacados con error T1, de acuerdo a lo establecido en la fila 1 de la Tabla 3 (N= 20 o menos).
4.10.1.2. Procedimiento
4.10.1.2.1. Defina el lote de inspección de acuerdo con los numerales 4.7.2.1 y 4.8.
4.10.1.2.2. Determine un tamaño de muestra apropiado para el lote de inspección usando la Tabla 3 o el Anexo 3 “planes de muestreos detallados” según corresponda.
4.10.1.2.3. Determine la deficiencia tolerable T, apropiada para la cantidad nominal de los preempacados, de acuerdo con la Tabla 2.
4.10.1.2.4. Determine el número de preempacados que se permite que tengan errores T1, de la columna 3 de la Tabla 3 o columna 3 o 7 del Anexo 3 “planes de muestreos detallados” según corresponda.
4.10.1.2.5. Únicamente para ensayos gravimétricos no destructivos, mida y registre la AGM para cada preempacado.
Si es necesario que el preempacado sea abierto para la determinación de la tara, determine la ATM usando los procedimientos del numeral 4.10.2, de lo contrario continuar con el numeral 4.10.1.2.6
Para determinar la AGM, los preempacados con gas protector o los preempacados al vacío se deben abrir antes de pesarlos.
4.10.1.2.6. Mida y registre la AGM del resto de preempacados en la muestra y determine ei para todos los preempacados en la muestra usando las indicaciones expresadas en los numerales 4.10.1.2.6.1 o 4.10.1.2.6.2.
4.10.1.2.6.1. Si se usan ensayos gravimétricos no destructivos:
a) Calcule la CGM que se puede usar para calcular ei, como se indica a continuación:
CGM = masa promedio de tara + cantidad nominal (en masa) del preempacado (ver parágrafo 2).
b) Determine ei restando la CGM de la AGM de cada preempacado.
ei = AGM- CGM
PARÁGRAFO 1o. Cuando se usan ensayos gravimétricos para determinar la cantidad real de fluidos en preempacados etiquetados en unidades de volumen, la masa nominal de producto líquido en el preempacado es el volumen nominal multiplicado por la densidad de un volumen medido del líquido a una temperatura de referencia. La temperatura recomendada internacionalmente es de 20 °C para la declaración de volumen de los líquidos no congelados.
PARÁGRAFO 2o. Cuando el ensayo gravimétrico se usa para determinar la cantidad real de fluidos en preempacados etiquetados en unidades de volumen se debe considerar lo indicado en la “Nota respecto al desarrollo de fórmulas de flotabilidad del aire” del numeral 3.3 de la Guía G14:2011 de la OIML:
![]()
4.10.1.2.6.2. Cuando se usan ensayos destructivos (no se exige CGM), determine la cantidad real del producto qi y luego calcule el error individual del preempacado, como:
![]()
4.10.1.2.7. Determine si los resultados del ensayo cumplen el requisito para preempacados individuales, de acuerdo con los numerales 4.10.1.2.7.1 a 4.10.1.2.7.4, inclusive.
4.10.1.2.7.1. Identifique todos los preempacados en la muestra con ei<0.
4.10.1.2.7.2. En estos preempacados ¿hay alguno con ei < - 2T? En caso afirmativo, el lote se debe rechazar
4.10.1.2.7.3. En estos preempacados, cuente la cantidad con ei <-T. Si este número es mayor al del valor de la columna 3 de la Tabla 3 o columna 3 o 7 del Anexo 3 “planes de muestreos detallados” según corresponda, el lote se debe rechazar
4.10.1.2.7.4. Los demás preempacados que no sean identificados en el numeral 4.10.1.2.7.1. cumplen el requisito para preempacados individuales
4.10.1.2.8. Determine si los resultados del ensayo cumplen el requisito para preempacados promedio, de acuerdo con los numerales 4.10.1.2.8.1 a 4.10.1.2.8.3, inclusive.
4.10.1.2.8.1. Calcule eave sumando los errores individuales de los preempacados ei obtenidos en los numerales 4.10.1.2.6.1 o 4.10.1.2.6.2, según el caso, y dividiendo la suma por el tamaño de muestra n. Si eave es 0 o un número positivo, se cumple la regla para el promedio y no es necesario avanzar al numeral 4.10.1.2.8.2.
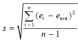
4.10.1.2.8.2. Determine la desviación estándar de los errores de preempacados individuales de la muestra usando la fórmula:

Esto se puede lograr con el siguiente método:
Para cada preempacado individual en la muestra, calcule di2 = (ei - eave)2. Sume di2 y divida el resultado por (n-1) para obtener s2. Determine la desviación estándar de la muestra s calculando la raíz cuadrada de s2.
4.10.1.2.8.3. De la fórmula ![]()
Calcule la cantidad
En donde SCF se toma de la columna 4 de la Tabla 3, o se calcula como se indica en el numeral 4.3.5. Si es negativo, se rechaza el lote; de lo contrario, se acepta.
4.10.1.3. Recursos adicionales para los métodos de ensayo
Para aquellos productos cuyo método de ensayo no se contemple en el presente capítulo, se deberá realizar la verificación de acuerdo con los siguientes documentos:
1. Russing, J. Special methods for testing of certain types of prepackages such as sparkling beverages, aerosols, ice cream (OIML Bulletin - Number 96, September 1984).
2. OIML G 14:2011 Density measurement.
4.10.2. Procedimiento para la determinación de la tara
4.10.2.1. Generalidades
Este procedimiento permite el uso de material de empaque usado o sin usar, para determinar la cantidad real de producto en un preempacado, como se indica a continuación:
Qi = AGM - ATM
4.10.2.2. Procedimiento
4.10.2.2.1. Seleccione aleatoriamente una muestra de 25 taras, de la muestra de preempacados tomados de un lote de inspección (tara seca usada), o de materiales de empaque nuevos en el punto de empaque (tara seca no usada).
Para la tara seca usada, determine la masa bruta del preempacado AGM antes de abrir el material de empaque (ver numeral 4.10.1.2.5).
4.10.2.2.2. Cuando se use tara seca usada de la muestra, límpiela usando los procedimientos de limpieza domésticos normales usados por los consumidores del producto. El material de empaque no se debería secar en el horno.
4.10.2.2.3. Determine la masa de 10 taras seleccionadas en la muestra.
4.10.2.2.4. Determine la ATM de las 10 muestras de tara pesadas según el numeral 4.10.2.2.3 y continúe como se indica en los numerales 4.10.2.2.4.1 a 4.10.2.2.4.3.
4.10.2.2.4.1. Si la ATM es igual o menor del 10% de la cantidad nominal del producto, úsela para determinar la cantidad real de producto en los preempacados, de acuerdo con los requisitos aplicables del numeral 4.10.1.2. Si la ATM excede el 10% de la cantidad nominal del producto, determine la desviación estándar de la muestra inicial s y continúe como se indica en los numerales 4.10.2.2.4.2 o 4.10.2.2.4.3, según el caso.
4.10.2.2.4.2. Si la ATM es mayor del 10% de la cantidad nominal y s es igual o menor que 0,25 x T, use las 15 muestras adicionales de la tara según el numeral 4.10.2.2.1 y pese cada una de ellas. Determine el promedio combinado de las 25 muestras de la tara. Use la ATM de las 25 taras para determinar la cantidad real de producto en los preempacados, de acuerdo con los requisitos aplicables del numeral 4.10.1.2.
PARÁGRAFO. Si la masa de la tara individual es inferior a la capacidad mínima establecida en la balanza, se deberá determinar la masa conjunta de todas las taras seleccionadas de la muestra como un único mensurando (10 o 25 según el caso) y con dicho valor determinar la ATM.
4.10.2.2.4.3. Si la ATM es mayor del 10% de la cantidad nominal y s es mayor de 0,25 x T del producto, no se puede usar y será necesario determinar y considerar cada masa de tara individual (ensayo destructivo). Abra los preempacados y determine la cantidad real de producto en cada preempacado, de acuerdo con los requisitos aplicables del numeral 4.10.1.2.
4.10.2.3. Procedimientos especiales para determinar Tara de aerosoles y otros recipientes presurizados
El material de empaque que esté diseñado para entregar el producto bajo presión debe indicar el contenido neto que se expulsará cuando se sigan las instrucciones de uso como se muestran en el contenedor. Esto significa que cualquier producto retenido en contenedores de aerosol después de la dispersión completa debe ser incluido en el peso de la tara.
Los envases de aerosol no deben abrirse porque están presurizados; por razones de seguridad, no deben ser perforados o abiertos. No obstante, si es necesario utilizar tara seca usada se debe vaciar el material de empaque del aerosol para determinar el peso de la tara, para esto deben ser agotados en un área bien ventilada (por ejemplo, bajo un escape campana o al aire libre) por lo menos a 15 m de cualquier fuente de llama abierta o chispa.
Para asegurar que el envase dispense correctamente el producto, lea y siga las instrucciones en el envase. Si se especifica agitación durante el uso en las instrucciones, agitar periódicamente (al menos dos o tres veces durante la expulsión del producto). Si no se dan instrucciones, agite el contenedor cinco veces con un movimiento rápido. Si el contenedor tiene un agitador de bolas, continuar el procedimiento de agitación durante un minuto después de que este se haya aflojado.
4.10.3 Cantidad escurrida de productos empacados en un medio líquido
4.10.3.1. Generalidades
Este procedimiento se debe usar para determinar la cantidad escurrida de producto en un medio líquido y se debe aplicar a preempacados con cantidades nominales de máximo 50 kg.
Los requisitos de cantidad escurrida se aplican a productos alimenticios empacados en algunos de los siguientes medios líquidos, solos o combinados, que se consideran como material de empaque y no se deben incluir como parte de la cantidad nominal del producto, entre otros:
a) Agua;
b) Soluciones salinas acuosas (salmuera);
c) Soluciones acuosas de azúcares u otras sustancias endulzantes;
d) Jugos de frutas o de vegetales, únicamente en frutas o vegetales enlatados;
e) Vinagre;
f) Aceite.
4.10.3.2. Equipo de ensayo
4.10.3.2.1. Para drenar el producto de un preempacado, use un tamiz plano con malla cuadrada entre 2,36 mm y 2,5 mm y espesor de alambre de 1,0 mm aproximadamente, y bandejas de goteo. El diámetro de este tamiz debe ser de 20 cm para uso con preempacados en los cuales el recipiente tiene una capacidad de 850 mL o menos, y de 30 cm para uso con recipientes cuya capacidad excede los 850 mL. Si el peso escurrido declarado es de 2,5 kg o más, la cantidad puede dividirse entre varios tamices, después de haberla pesado toda.
4.10.3.2.2. Para la determinación de la cantidad, el instrumento de pesaje de funcionamiento no automático (balanza) debe cumplir los requisitos del numeral 4.7.1.3.
4.10.3.3. Procedimiento para determinar la cantidad real de componente sólido del producto
4.10.3.3.1. Aplique los requisitos del numeral 4.5. “Requisitos metrológicos para preempacados”.
4.10.3.3.2. Seleccione una muestra de preempacados, de acuerdo con el numeral 4.7.2. El muestreo se debe llevar a cabo cuando los productos estén listos para su comercialización de acuerdo con el fabricante, cuando ya se ha realizado la distribución o en cualquier momento posterior a 30 días después de la esterilización, pasteurización o proceso similar.
4.10.3.3.3. Almacene las muestras durante un período mínimo de 12 horas antes del ensayo, dentro del intervalo de temperatura especificado por el empacador, o entre 20 °C a 24 °C.
Si las muestras llevan más de 30 días después de la esterilización, pasteurización o proceso similar almacenadas a la temperatura especificada por el empacador, no tendrán que ser almacenadas durante el periodo mínimo de 12 horas y se podrá iniciar el procedimiento inmediatamente.
4.10.3.3.4. Determine la masa del tamiz vacío.
4.10.3.3.5. Abra el preempacado y vierta el producto y el medio líquido a través del tamiz. Distribuya el producto y el medio líquido sobre la superficie del tamiz, pero sin agitarlos. Para facilitar el drenado, incline el tamiz en un ángulo de entre 17° y 20° aproximadamente respecto a la horizontal.
4.10.3.3.6. Si los productos sólidos o partes de estos tienen huecos o cavidades (por ejemplo, fruta en rodajas) y caen en el tamiz con estos huecos o cavidades hacia arriba, se deben voltear cuidadosamente con la mano.
4.10.3.3.7. Deje que transcurra un tiempo de drenado de 2 min aproximadamente.
4.10.3.3.8. Pese nuevamente el tamiz junto con el contenido y calcule el peso escurrido del producto, como se indica a continuación:
M = Me2 - Me1
En donde: M = peso escurrido del producto
Me1 = masa del tamiz limpio
Me2 = masa del tamiz más el producto después de drenado
4.10.3.3.9. Antes de pesar posteriormente el mismo tamiz, asegúrese de que esté limpio y libre de partículas del producto. No es necesario que el tamiz esté seco, en tanto que se pese con exactitud antes de su uso.
4.10.4. Procedimiento para determinar la cantidad real de sardina o productos análogos en salsa de tomate (peso escurrido lavado)
4.10.4.1. Generalidades
Este procedimiento se debe usar para determinar la cantidad escurrida de sardinas o productos análogos en salsa de tomate y se debe aplicar a preempacados con cantidades nominales de máximo 50 kg.
4.10.4.2. Equipo de ensayo
4.10.4.2.1. Para drenar el producto de un preempacado, use un tamiz plano con malla cuadrada entre 2,36 mm y 2,5 mm y espesor de alambre de 1,0 mm aproximadamente, y bandejas de goteo. El diámetro de este tamiz debe ser de 20 cm para uso con preempacados en los cuales el recipiente tiene una capacidad de 850 mL o menos, y de 30 cm para uso con recipientes cuya capacidad excede los 850 mL. Si el peso escurrido declarado es de 2,5 kg o más, la cantidad puede dividirse entre varios tamices, después de haberla pesado toda.
4.10.4.2.2. Para la determinación de la cantidad, el instrumento de pesaje de funcionamiento no automático (balanza) debe cumplir los requisitos del numeral 4.7.1.3.
4.10.4.3. Procedimiento para determinar la cantidad real de componente sólido del producto
4.10.4.3.1. Aplique los requisitos del numeral 4.5. “Requisitos metrológicos para preempacados”.
4.10.4.3.2. Seleccione una muestra de preempacados, de acuerdo con el numeral 4.7.2. El muestreo se debe llevar a cabo cuando los productos estén listos para su comercialización de acuerdo con el fabricante, cuando ya se ha realizado la distribución o en cualquier momento posterior a 30 días después de la esterilización, pasteurización o proceso similar.
4.10.4.3.3. Mantener el envase a una temperatura de 20 °C a 30 °C o a la temperatura de almacenamiento indicada por el empacador, distribuidor y/o importador, durante un mínimo de 12 horas antes del examen.
Si las muestras llevan más de 30 días después de la esterilización, pasteurización o proceso similar almacenadas a la temperatura especificada por el empacador, no tendrán que ser almacenadas durante el periodo mínimo de 12 horas y se podrá iniciar el procedimiento inmediatamente.
4.10.4.3.4. Abrir e inclinar el envase para eliminar la salsa de cobertura y lavar luego el contenido con agua corriente calentada a 40 °C aproximadamente, utilizando una botella para lavado (por ejemplo, de plástico) sobre un tamiz circular previamente pesado.
4.10.4.3.5. Lavar el contenido del tamiz con agua caliente hasta eliminar totalmente la salsa adherida; en caso necesario, separar con unas pinzas los ingredientes facultativos (especias, hortalizas, frutas).
4.10.4.3.6. Inclinar el tamiz con un ángulo de 17° a 20° aproximadamente y dejar escurrir el pescado durante dos minutos aproximadamente a partir del momento en que se haya completado el lavado.
4.10.4.3.7. Eliminar el agua adherida al fondo del tamiz utilizando una toalla de papel.
4.10.4.3.8. Pese nuevamente el tamiz junto con el contenido y calcule el peso escurrido del producto, como se indica a continuación:
M = Me2 - Me1
En donde: M = peso escurrido del producto
Me1 = masa del tamiz limpio
Me2 = masa del tamiz más el producto después de drenado
4.10.5. Procedimientos de ensayo para determinar la cantidad real de productos congelados
4.10.5.1. Generalidades
4.10.5.1.1. Los requisitos del numeral 4.5. Requisitos metrológicos para preempacados son aplicables a lotes de inspección de preempacados medidos después de retirar el exceso de hielo (material de empaque) de acuerdo con los procedimientos de los numerales 4.10.5.3 a 4.10.5.5.
No se pretende descongelar el producto, solo eliminar el exceso de hielo; el producto mismo debe permanecer congelado para evitar la pérdida de humedad contenida en el producto en forma natural.
Por regla general los productos congelados que no estén contemplados en los procedimientos especiales del numeral 4.10.5.3, serán sometidos al procedimiento de verificación dispuesto en el numeral 4.10.1 y 4.10.2.
4.10.5.2. Equipos de ensayo
4.10.5.2.1 Tamices de 20 cm y 30 cm de diámetro, con malla de alambre entre 2,36 mm y 2,5 mm, espesor de alambre de 1,0 mm aproximadamente y bandejas de goteo.
4.10.5.2.2. Para la determinación de la cantidad, el instrumento de pesaje debe cumplir los requisitos del numeral 4.7.1.3.
4.10.5.2.3. Recipiente con agua de un tamaño adecuado para sumergir el preempacado, o una canasta de malla de alambre que contenga el producto glaseado, y con capacidad para mantener el agua a una temperatura entre 20 °C y 26 °C con una exactitud de ± 1° C.
4.10.5.2.4. Chorro de agua fría.
4.10.5.2.5. Una canasta en malla de alambre, de un tamaño suficiente para albergar el contenido de un producto glaseado con hielo y con los orificios de la malla lo suficientemente pequeños para retener el producto.
4.10.5.3. Procedimientos Especiales
4.10.5.3.1 Frutas y vegetales congelados
4.10.5.3.1.1. Determine la masa del tamiz y de la bandeja de goteo que se van a utilizar. Para preempacados con una cantidad nominal de hasta 1,4 kg inclusive, use un tamiz de 20 cm de diámetro, o uno de 30 cm de diámetro para preempacados con una cantidad nominal superior a 1,4 kg.
4.10.5.3.1.2. Sumerja el preempacado en un recipiente con agua manteniéndola a 20 °C ± 1 °C. Si el preempacado no es hermético al agua, colóquelo en una bolsa plástica, extraiga el exceso de aire y séllelo en forma segura. Una vez que se haya derretido el exceso de hielo, retire el preempacado del baño de agua y séquelo con un paño. Abra cuidadosamente el preempacado con un mínimo de agitación.
4.10.5.3.1.3. Transfiera el producto al tamiz pesado previamente. Con el tamiz inclinado de 17° a 20° aproximadamente respecto al plano horizontal para facilitar el drenado, distribuya el producto homogéneamente sobre el tamiz, mediante un movimiento de barrido. Deje drenar durante 2 minutos aproximadamente y luego transfiera el tamiz que contiene el producto, a la bandeja de goteo pesada previamente y determine la masa real del producto utilizando un instrumento de pesaje de funcionamiento no automático (balanza) adecuado (Ver numeral 4.10.5.2.2).
4.10.5.3.1.4. Repita los pasos indicados en los numerales 4.10.5.3.1.1. a 4.10.5.3.1.3. para cada preempacado de la muestra.
4.10.5.3.2 Productos del mar glaseados y aves glaseadas (productos recubiertos con una película de hielo para preservar su calidad) y bloques de pescado congelado
4.10.5.3.2.1. Determine la masa del tamiz y de la bandeja de goteo que se van a utilizar. Para preempacados con una cantidad nominal de hasta 900 g inclusive, use un tamiz de 20 cm de diámetro, o uno de 30 cm de diámetro para preempacados con una cantidad nominal superior a 900 g.
4.10.5.3.2.2. Retire el producto del material de empaque. Colóquelo en una canasta de malla de alambre de un tamaño suficiente para albergar el contenido del preempacado y con orificios lo suficientemente pequeños para retener el producto. Coloque la canasta de malla de alambre que contiene el producto debajo de un chorro suave de agua fría hasta eliminar el glaseado, es decir, hasta que se palpe la piel o la carne propia del producto o hasta que se sienta que el hielo del glaseado se ha removido. Agite el producto cuidadosamente para evitar que se dañe.
4.10.5.3.2.3. Transfiera el producto al tamiz pesado previamente. Incline el tamiz de 17° a 20° aproximadamente respecto al plano horizontal, para facilitar el drenado sin que se mueva el producto. Deje escurrir durante 2 minutos aproximadamente y luego transfiera el tamiz con el producto, a la bandeja de goteo pesada previamente. Determine la masa real del producto en un instrumento de pesaje de funcionamiento no automático (balanza) adecuado (Ver numeral 4.10.5.2.2).
4.10.5.3.2.4. Repita los pasos indicados en los numerales 4.10.5.3.2.1. a 4.10.5.3.2.3. para cada preempacado de la muestra.
4.10.5.3.3. Camarones y cangrejos congelados
4.10.5.3.3.1 Determine la masa del tamiz y de la bandeja de goteo que se van a utilizar. Para preempacados con una cantidad nominal de hasta 450 g inclusive, use un tamiz de 20 cm de diámetro, o uno de 30 cm de diámetro para preempacados con una cantidad nominal superior a 450 g.
4.10.5.3.3.2. Retire el producto del material de empaque y colóquelo en una canasta de malla de alambre de un tamaño suficiente para albergar el contenido del preempacado y con orificios lo suficientemente pequeños para retener el producto. Sumerja la canasta con el producto en un baño de agua mantenido a 26 °C ± 1 °C con flujo de agua continuo, de manera que la parte superior de la canasta sobresalga por encima del nivel del agua. Una vez que se haya derretido todo el exceso de hielo, retire el producto del baño de agua.
4.10.5.3.3.3. Transfiera el producto al tamiz pesado previamente. Incline el tamiz a 17° a 20° aproximadamente respecto al plano horizontal, para facilitar el drenado sin que se mueva el producto. Deje drenar durante 2 minutos aproximadamente, luego transfiera el tamiz con el producto a la bandeja de goteo pesada previamente y determine la masa real del producto.
4.10.5.3.3.4. Repita los pasos indicados en los numerales 4.10.5.3.3.1. a 4.10.5.3.3.3. para cada preempacado de la muestra.
4.11 Tolerancia por Defecto para el producto preempacado “panela en molde”.
La tolerancia por defecto para el contenido real entregado con respecto del contenido nominal anunciado para el producto preempacado “panela en molde” en cualquier presentación, respecto del cual se realizará la verificación de los requisitos del promedio y de preempacados individuales, es del cinco por ciento (5%), en cualquier nivel de producción o distribución, incluidos el punto de empaque, importación, distribución, comercialización y punto de venta al por mayor y al detal.
PARÁGRAFO. Para efectos del presente numeral entiéndase “panela en molde” el producto sólido obtenido por evaporación de los jugos de la caña de azúcar, fabricado de forma artesanal y que se presenta al público en cualquier forma diferente a granulado o en polvo.
4.12. Tolerancia por defecto para jabones en barra de tocador y lavandería
La tolerancia por defecto para el contenido real entregado con respecto del contenido nominal anunciado para el producto preempacado “jabones en barra de tocador y lavandería” en cualquier presentación, respecto del cual se realizará la verificación de los requisitos del promedio y de preempacados individuales, es del diez por ciento (10%), en el punto de importación, distribución, comercialización y punto de venta al por mayor y al detal.
PARÁGRAFO 1o. La tolerancia por defecto señalada en el presente numeral no será aplicable cuando la verificación se realice en el punto de empaque, caso en el cual se aplicará el procedimiento general dispuesto en el presente reglamento técnico.
PARÁGRAFO 2o. Para efectos del presente numeral entiéndase “jabón en barra” el producto sólido formado por saponificación o neutralización de grasas, aceites, ceras, colofonías o sus ácidos con sus bases orgánicas o inorgánicas; o producido por síntesis química que contiene compuestos orgánicos tensoactivos además de los derivados de la saponificación o neutralización de grasas, aceites, ceras, colofonías o sus ácidos con sus bases orgánicas o inorgánicas.
4.13 Prohibición de preempacados engañosos
4.13.1. Requisitos generales
Un preempacado no debe tener forma, tamaño o alguna otra característica que pueda engañar o confundir a un consumidor en cuanto a la cantidad real de producto contenido en el mismo.
La fabricación o llenado del preempacado no debe engañar ni confundir de ninguna manera al consumidor.
PARÁGRAFO. Teniendo en cuenta las definiciones de preempacado y preempacado engañoso referenciadas en el numeral 4.3, se deberá entender que un producto preempacado es la unidad que se presenta al consumidor y que incluye el producto, el empaque primario, el material de empaque, y en algunas ocasiones un empaque secundario, dentro del cual es puesto el preempacado antes de ser ofrecido a la venta.
4.13.2. Paredes, fondos, cubiertas o tapas falsas
Un preempacado con fondos falsos, paredes laterales y tapas o cubiertas falsas se considera engañoso, excepto cuando en el empaque el consumidor sea informado de manera clara, precisa y sin lugar a equívocos sobre las condiciones del empaque en las que se ofrece el contenido.
4.13.3. Llenado completo
Si un consumidor no puede ver completamente el producto en el preempacado, se presumirá que está lleno. Es posible que un preempacado no esté lleno completamente siempre y cuando la diferencia entre el volumen real del material de empaque y el volumen del producto que contiene (espacio vacío funcional) se requiera en el proceso de producción
4.13.4. Espacio vacío funcional
El espacio vacío es la diferencia entre la capacidad del material de empaque y el volumen del producto que contiene. Un espacio vacío se considera funcional cuando sea necesario en los siguientes casos:
a) Para el proceso de producción;
b) Para la protección del producto;
c) Por los requisitos de las máquinas usadas para llenar el preempacado;
d) Por el asentamiento inevitable del producto durante su despacho y manipulación; y
e) Por la necesidad de que un preempacado lleve a cabo una función específica (por ejemplo, cuando el empaque tiene una función en la preparación o consumo de un alimento), en donde dicha función es inherente a la naturaleza del producto.
El productor, importador, empacador o quien ponga su marca o enseña en el producto, deberá demostrar técnicamente a la autoridad de control, cuando esta lo requiera, alguna de las anteriores razones, casos en los cuales no será necesario presentar al consumidor advertencia alguna sobre el particular.
4.13.5. Espacio vacío no funcional
Un preempacado con un espacio vacío no funcional (espacio vacío que no se requiere en el proceso de producción) se considera engañoso, excepto cuando en el empaque el consumidor sea informado de manera clara, precisa y sin lugar a equívocos sobre las condiciones del empaque en las que se ofrece el contenido.
4.14. Anexos. Hace parte integral del presente Capítulo el Anexo número 3 “PLANES DE MUESTREO DETALLADOS”.
ARTÍCULO 4o. El incumplimiento de lo previsto en la presente resolución dará lugar a la imposición de las medidas dispuestas en la Ley 1480 de 2011, con sus modificaciones y adiciones.
ARTÍCULO 5o. Extiéndase la vigencia de la Resolución 16379 de 2003 hasta el 30 de junio de 2021.
ARTÍCULO 6o. Los artículos 1o, 2o, 3o, 4o y 6o de la presente resolución, entran a regir a partir de los doce (12) meses siguientes a la publicación en el Diario Oficial. Con la entrada en vigencia de los mencionados artículos 1o, 2o, 3o, 4o y 6o de este acto administrativo, se deroga la Resolución 16379 de 2003.
Por otra parte, el artículo 5o de la presente resolución entra a regir a partir de la fecha de publicación en el Diario Oficial.
Publíquese y cúmplase.
Dada en Bogotá, D. C., a 26 de junio de 2020.
El Superintendente de Industria y Comercio,
Andrés Barreto González.
UNIDADES DE MEDICIÓN Y SÍMBOLOS.
1. Las unidades de medición se deben expresar en palabras o en símbolos. La Tabla A.1 presenta las unidades y sus símbolos apropiados para mediciones.

1.1. Se debe usar un solo espacio para separar el número de la unidad de medición.
1.2. Para hacer la declaración de cantidad se pueden usar expresiones apropiadas tales como “contenido”, “cantidad”, “masa”, “peso”, “neto”, “masa neta”, “peso neto”, “contenido neto”, “cantidad neta” o “Cont. Neto”. Estas expresiones pueden ir escritas antes o después de la declaración de cantidad. Las expresiones “escurrido” o “peso escurrido” se deben usar de acuerdo como se describe en el numeral 2.4.2.2.
1.3. No se deben usar expresiones ambiguas tales como “aproximadamente” o “estándar” o “en el momento del empaque”, como parte de la declaración de cantidad.
TAMAÑO DE LOS CARACTERES Y NÚMEROS PARA LAS DECLARACIONES DE CANTIDAD EN LOS PREEMPACADOS.
Diferentes países o bloques comerciales usan distintos modelos para prescribir el tamaño mínimo de los caracteres usados para la declaración de la cantidad en los productos preempacados. En este Anexo se presentan ejemplos de algunos de estos requisitos.
Requisitos de EE. UU. para preempacados destinados al consumidor
2.1.1. En los Estados Unidos los requisitos de altura mínima de números y letras en relación con el área del panel de exhibición principal del preempacado se indican en la Tabla B.1. La Conferencia Internacional de Pesos y Medidas adoptó estos requisitos y los publicó en el Handbook 130 Uniform Laws and Regulations, del National Institute of Standards and Technology.
2.1.2. Área del panel de exhibición principal del preempacado. El área (sin incluir la cara superior e inferior, los rebordes en las caras superior e inferior de las latas, y los hombros y cuellos de las botellas y jarras) se debe determinar como se indica a continuación:
2.1.2.1. En el caso de un preempacado rectangular, en donde un lado completo se puede considerar apropiadamente como el lado del panel de exposición principal, es el resultado de multiplicar la altura por el ancho de ese lado.
2.1.2.2. En el caso de un preempacado cilíndrico o semicilíndrico, es el 40% del resultado de multiplicar la altura del preempacado por su circunferencia.
2.1.2.3 En el caso de preempacados con cualquier otra forma, es el 40% de la superficie total del preempacado, o un área considerada como el panel de exhibición principal del preempacado.

1.2. Requisitos de la Unión Europea
2.2.1. En la Unión Europea la Directiva del Consejo 76/211/EEC establece el tamaño mínimo de los caracteres con relación a las declaraciones de cantidad para productos vendidos en unidades de masa o de volumen, como se ilustra en la Tabla B.2.

Los tamaños de los caracteres para elementos vendidos por longitud, área o por número de piezas no están armonizados y en este caso es aplicable la legislación nacional.
2.2.2. La información acerca de la cantidad neta del alimento se debería etiquetar con caracteres en un tamaño de fuente en donde la altura de la x, como se define en el Anexo IV del Reglamento de la UE Nro. 1169/2011, sea igual o mayor de 1,2 mm.
2.3. Requisitos de la Comunidad de Desarrollo de África Meridional (SADC)
2.3.1. Los requisitos para la región de la SADC se establecen en el Documento 1 SADC Cooperation in Legal Metrology (SADCMEL). Estos requisitos se presentan en los numerales 2.3.2 a 2.3.5.
2.3.2. Para productos preempacados que llevan la información de la cantidad neta en unidades de masa, volumen o volumen en medidas cúbicas, las letras y números usados en la indicación de la cantidad neta deben tener la altura mínima establecida en la Tabla B.3, excepto si el numeral 2.3.1.3 es aplicable.

2.3.3. Cuando el contenido neto aparece en una etiqueta adhesiva impresa por el instrumento de medición aprobado para uso en comercio, la altura de la indicación no debe ser inferior a 2 mm ni necesita tener un tamaño superior, independientemente de la cantidad de contenido. Si la etiqueta también lleva una descripción del precio, esta descripción no debe exceder el doble de la altura de la indicación de la cantidad neta.
2.3.4. Para productos preempacados que llevan la indicación de la cantidad neta en unidades diferentes de las que se indican en el numeral 2.3.2, la altura mínima de las letras y números usados en la indicación de la cantidad neta se debe basar en la mayor dimensión del preempacado, ya sea el diámetro, la altura, la longitud o el ancho, de acuerdo con la Tabla B.4, excepto que se aplique lo establecido en el numeral 2.3.5.

2.3.5. Cuando el contenido neto aparece en una etiqueta adhesiva impresa por un instrumento de medición aprobado para uso en comercio, la altura de la indicación no debe ser inferior a 2 mm ni necesita tener un tamaño superior, independientemente del tamaño del preempacado. Si la etiqueta también lleva una descripción del precio, esta descripción no debe exceder el doble de la altura de la indicación de la cantidad neta.
PLANES DE MUESTREO DETALLADOS.





