RESOLUCIÓN 3202 DE 2015
(octubre 13)
Diario Oficial No. 49.672 de 21 de octubre de 2015
MINISTERIO DE COMERCIO, INDUSTRIA Y TURISMO
por la cual se define la Política de Administración de Riesgos, se implementa el Sistema de Administración de Riesgos de la Ventanilla Única de Comercio Exterior (VUCE), se crea el Comité de Riesgos de la Dirección de Comercio Exterior del Ministerio de Comercio, Industria y Turismo y se asignan sus funciones.
LA MINISTRA DE COMERCIO, INDUSTRIA Y TURISMO
en ejercicio de sus facultades legales y en especial de las conferidas por los artículos 59 y 61 de la Ley 489 de 1998, el numeral 30 del artículo 2o del Decreto-ley 210 de 2003, y el artículo 7o del Decreto-ley 210 de 2003, adicionadas por el artículo 4o del Decreto 2785 de 2006 y modificadas por el artículo 2o del Decreto 1289 de 2015 y,
CONSIDERANDO:
Que el Acuerdo sobre Facilitación del Comercio de la Organización Mundial de Comercio adoptado en el año 2013 por la Organización Mundial del Comercio establece en su artículo 7.4.2 que “Cada Miembro concebirá y aplicará la gestión del riesgo de manera que se eviten discriminaciones arbitrarias o injustificables o restricciones encubiertas al comercio internacional”, y su artículo 7.4.4 que “Cada Miembro basará la gestión del riesgo en una evaluación del riesgo mediante criterios de selectividad adecuados...”.
Que para cumplir con los compromisos internacionales asumidos por Colombia en los acuerdos comerciales con respecto a facilitación del comercio y procedimientos aduaneros, se deben fortalecer los sistemas de riesgo con el fin de permitir a sus autoridades focalizar sus actividades en operaciones de alto riesgo y facilitar las operaciones de comercio exterior.
Asimismo, se deberá trabajar para intercambiar información relacionada con las técnicas de gestión del riesgo aplicadas por sus respectivas autoridades.
Que para lograr el máximo aprovechamiento de los acuerdos comerciales vigentes, es necesario reducir y automatizar los documentos requeridos en los puntos de entrada y salida de mercancías, implementar procesos sistematizados y sistemas de riesgo y generar actuación en tiempo real sin la interrupción de algún actor de la cadena logística, que le dé trazabilidad a los procesos, aseguren previsibilidad, eliminen tiempos muertos, simplifiquen procesos, y se reduzcan los tiempos de despacho de mercancías.
Que el Decreto 4149 de 2004 creó la Ventanilla Única de Comercio Exterior (VUCE), la cual es administrada por el Ministerio de Comercio, Industria y Turismo y soportada en medios tecnológicos como un mecanismo a través del cual las entidades administrativas relacionadas con el sector del comercio exterior comparten información pertinente y los usuarios realizan sus trámites, y que el numeral 16 del artículo 18 del Decreto 210 de 2003, modificado por el Decreto 1289 de 2015, establece que la Dirección de Comercio Exterior tiene entre sus funciones administrar la Ventanilla Única de Comercio Exterior.
Que es necesario definir la política de administración de riesgos e implementar mecanismos de evaluación y control para garantizar que la gestión del riesgo se realice de una manera sistemática, transparente y eficiente a través de un Sistema de Gestión de Riesgos en la VUCE.
Que de acuerdo con las prácticas de comercio internacional, el Ministerio de Comercio, Industria y Turismo, definirá la Política de Administración de Riesgos (PAR) e implementará un Sistema de Administración de Riesgos (SAR) en la Ventanilla Única de Comercio Exterior (VUCE) para la evaluación de las solicitudes presentadas, haciendo expedita la aprobación de las solicitudes de bajo nivel de riesgo, enfocando sus recursos en la revisión detallada de aquellas con altos niveles de riesgo, para prevenir el ingreso o salida de mercancías al país sin el cumplimiento de los requisitos previos.
Que el Sistema de Administración de Riesgos de la Ventanilla Única de Comercio Exterior, SAR (VUCE), sirve para orientar en forma más eficiente el control que realizan las autoridades con el fin de garantizar el cumplimiento de requisitos o disposiciones legales, de competencia de cada entidad.
Que la estrategia de internacionalización y la Política de Facilitación del Comercio adelantada por el Gobierno nacional requieren de la adopción de buenas prácticas orientadas al fortalecimiento de la capacidad institucional para la gestión del riesgo en las operaciones de comercio exterior tramitadas en la Ventanilla Única de Comercio Exterior (VUCE), para reducir costos y tiempos de respuesta.
Que se requiere crear un Comité de Riesgos en la Dirección de Comercio Exterior que defina los lineamientos de gestión de riesgos de la VUCE y se asegure que estos se encuentren acordes con la política de comercio exterior del Ministerio de Comercio, Industria y Turismo en materia de trámites y procedimientos.
Que el artículo 11 del Decreto 925 de 2013 establece que el importador, la Agencia de Aduanas o el apoderado especial que presenten a través de la Ventanilla Única de Comercio Exterior (VUCE) la solicitud de registro o licencia de importación, así como sus modificaciones y cancelaciones, será responsable de la información contenida en dichas solicitudes, así como de la debida aplicación del régimen de importación que corresponda a la operación y del cumplimiento de los requisitos establecidos para la presentación de las mismas.
RESUELVE:
ARTÍCULO 1o. OBJETO Y ÁMBITO DE APLICACIÓN. La presente resolución tiene por objeto definir la Política de Administración de Riesgos (PAR), implementar el Sistema de Administración de Riesgos (SAR) para la evaluación de las solicitudes de comercio exterior que se tramiten en la Ventanilla Única de Comercio Exterior (VUCE), y crear y asignar funciones al Comité de Riesgos de la Dirección de Comercio Exterior del Ministerio de Comercio, Industria y Turismo.
ARTÍCULO 2o. POLÍTICA DE ADMINISTRACIÓN DE RIESGOS (PAR) EN LAS ENTIDADES VUCE. Es la orientación a cargo del Ministerio de Comercio, Industria y Turismo para que las entidades de la Ventanilla Única de Comercio Exterior, administren los riesgos de las operaciones tramitadas, usando como referencia la norma técnica colombiana NTC-ISO 31000, o la norma ISO que la modifique o actualice, a través del uso de criterios objetivos de identificación, valoración y mitigación del riesgo operativo asociado a la evaluación de solicitudes previas tramitadas por los usuarios de comercio exterior, a través de la valoración de la severidad, probabilidad de ocurrencia del riesgo y afectación, con el fin de que sus grupos o unidades de riesgos internos establezcan controles idóneos, diseñen planes de contingencia e implementen acciones de mejora para evitar, reducir, compartir, transferir o asumir los riesgos, a través de cada una de las etapas de implementación del Sistema de Administración de Riesgos SAR-VUCE.
ARTÍCULO 3o. PRINCIPIOS RECTORES DE LA POLÍTICA DE ADMINISTRACIÓN DE RIESGOS (PAR) EN LAS ENTIDADES VUCE. Los siguientes son los principios rectores para la toma de decisiones respecto al tratamiento de los riesgos y sus efectos en las operaciones evaluadas en la VUCE, por las entidades participantes, a través del Sistema de Administración de Riesgos SAR-VUCE:
1. Seguridad. Establecimiento de un ambiente de control a nivel técnico y administrativo adecuado para la operación de la VUCE.
2. Transparencia. Las actuaciones de los funcionarios públicos corresponderán a la aplicación de criterios técnicos, que eviten la discrecionalidad en la toma de decisiones.
3. Cultura del Riesgo. Fortalecimiento de la cultura de administración de los riesgos operativos en el ámbito de cada entidad participante en la VUCE, para crear conciencia colectiva sobre los beneficios de su aplicación y de los efectos adversos de su desconocimiento.
4. Estandarización. Para la implementación del sistema, las entidades vinculadas a la VUCE deberán cumplir con los estándares relacionados con la administración de los riesgos operativos, asegurar su divulgación y comprensión bajo parámetros y criterios unificados.
5. Autocontrol. Los procesos y procedimientos deben ser sometidos permanentemente al análisis de riesgos y las propuestas de modificaciones deben incluir este componente, con base en la aplicación de las metodologías adoptadas para el efecto.
6. Seguimiento y Monitoreo. Debe mantenerse un seguimiento y monitoreo permanente sobre las variables de riesgos operativos para realizar oportunamente los ajustes pertinentes en la calificación del riesgo.
7. Progresividad. Las entidades que adopten la Política de Administración de Riesgos (PAR) deben propender por la progresividad en el desarrollo de nuevos métodos en la gestión del riesgo que aseguren un mejor control en las operaciones, menor discrecionalidad y una eficiente asignación de los recursos físicos y humanos.
ARTÍCULO 4o. APLICACIÓN DE LA POLÍTICA DE ADMINISTRACIÓN DE RIESGOS (PAR). La Política de Administración de Riesgos (PAR) debe ser aplicada por las entidades de la VUCE que ingresen al Sistema de Administración de Riesgos SAR-VUCE.
El Ministerio de Comercio, Industria y Turismo será el referente técnico en la implementación del Sistema de Administración de Riesgos SAR-VUCE, sin perjuicio de las facultades legales que le corresponde a cada una de las entidades en el ámbito de sus competencias.
ARTÍCULO 5o. DEFINICIONES. <Artículo modificado por el artículo 1 de la Resolución 2438 de 2018. El nuevo texto es el siguiente:> Para efectos de la presente resolución, se adoptan las siguientes definiciones:
Análisis de Riesgos: Uso sistemático de información para identificar fuentes de riesgos operativos y calcular su probabilidad de ocurrencia. La información puede incluir datos históricos, análisis teóricos, o juicio de expertos, entre otros.
Factores: Variables de riesgo a evaluar en las solicitudes tramitadas en la VUCE, a las que se les asigna una ponderación a nivel individual dentro de cada macrofactor. Los factores se incluirán en las plantillas de calificación de riesgos.
Gestión de Riesgos: Actividades coordinadas para dirigir y controlar los riesgos operativos asociados a los trámites realizados en los módulos de importación, exportación, registro de productores de bienes nacionales, Sistemas Especiales de Importación-Exportación, Comercializadoras Internacionales, régimen de transformación y ensamble y demás módulos que se incorporen en la Ventanilla Única de Comercio Exterior (VUCE). La gestión de riesgos incluye, por norma general, evaluación, tratamiento, aceptación y comunicación de riesgos.
Macrofactores: Agrupación de factores relacionados sobre la misma tipología de riesgos, a la que se le asigna una ponderación a nivel agregado. Los macrofactores se incluirán en las plantillas de calificación de riesgos.
Probabilidad: Grado en que en un suceso puede tener lugar un número real situado en la escala de 0 a 1 asignado a un suceso fortuito. Puede estar relacionado con una frecuencia de ocurrencia relativa a largo plazo o con un grado de creencia de que ocurra un suceso. Para un alto grado de creencia, la probabilidad se acerca a 1.
Probabilidad de afectación: Estimación de la probabilidad de que los usuarios resulten afectados por el ingreso o salida de mercancías del país sin cumplir con los requisitos, autorizaciones o permisos previos.
Probabilidad de ocurrencia: Estimación de la probabilidad de que ingresen o salgan mercancías del país sin cumplir con los requisitos, autorizaciones o permisos previos.
Riesgo Operativo: Potencial afectación derivada de los trámites realizados en la VUCE que no cumplan con las condiciones establecidas en la normatividad vigente.
Severidad del efecto: Magnitud del efecto del posible ingreso o salida de mercancías al país, sin el cumplimiento de requisitos previos.
Sistema de Administración de Riesgos (SAR) VUCE: Es una herramienta tecnológica de gestión de riesgos, basada en factores, que se evalúan a partir de la información de diferentes bases de datos. Está constituida por análisis de probabilidad de actuaciones ante la VUCE de los diferentes actores de la cadena de comercio exterior, lugares de procedencia y origen de la mercancía y tipo de productos, entre otros, utilizada por el Ministerio de Comercio, Industria y Turismo para evaluar el riesgo operativo de las solicitudes tramitadas en la VUCE.
El riesgo de cada solicitud es el resultado de la sumatoria de las calificaciones establecidas para cada uno de los factores definidos para el cálculo del riesgo. Actualmente cada factor está determinado por hasta 6 niveles de criterio y cada nivel de criterio define un rango sobre el cual se asigna una calificación, la cual es multiplicada por las ponderaciones de cada factor y macrofactor. Cualquier solicitud sometida a la gestión de riesgo, podrá ser aprobada automáticamente como resultado del análisis de riesgo.
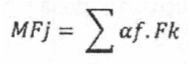
La evaluación del nivel de riesgo de cada solicitud tramitada en VUCE se hace a través del siguiente modelo:

Donde:
Pij: Es el nivel de riesgo acumulado de los macrofactores de una solicitud tramitada en la VUCE.
Bj: Corresponden a los ponderados de los macrofactores.
MFj: Es el puntaje de riesgo acumulado ponderado de los factores de cado macrofactor.

Donde:
áf: Corresponden a los ponderados de los factores de cada macrofactor.
Fk: Es el puntaje de riesgo asignado a los factores de riesgo.
Inicialmente en el modelo se valorarán los riesgos de forma cualitativa, pero en el mediano plazo se valorarán de manera semicuantitativa y cuantitativa, una vez estén integradas las fuentes de información requeridas.
Tratamiento de riesgos: Proceso de selección y puesta en aplicación de medidas para modificar el riesgo. Las medidas de tratamiento de riesgos pueden evitar, transferir o disminuir el riesgo.
Factor Determinante: Variable de riesgo a evaluar en las solicitudes tramitadas en la VUCE que determina directamente la calificación final de una solicitud, en el caso que su valor asociado de riesgo sea inaceptable, la solicitud es calificada con nivel de riesgo inaceptable independiente de los valores de riesgo asociados a los demás factores.
ARTÍCULO 6o. EJES Y GRADUALIDAD DEL SISTEMA DE ADMINISTRACIÓN DE RIESGOS (SAR)-VUCE. El Sistema consta de tres ámbitos de implementación, cada uno de los cuales se irá conformando de forma gradual:
Primera etapa: Se calibrará gradualmente el Sistema de Administración de Riesgos (SAR)-VUCE, inicialmente haciendo la evaluación de riesgos a través de métodos cualitativos, posteriormente se implementarán métodos semicuantitativos y finalmente -mecanismos cuantitativos, de acuerdo con la disponibilidad y calidad de los datos obtenidos en el funcionamiento del sistema. Como referencia se utilizarán los componentes de la Norma Técnica Colombiana NTC-ISO 31000 o la norma ISO que la modifique o actualice, la cual comprende el establecimiento del contexto, valoración de riesgos (identificación, análisis, evaluación), tratamiento, comunicación y monitoreo.
Segunda etapa: Se incluirán nuevas operaciones al SAR-VUCE, a medida que se avanza en la gestión de riesgos, y de acuerdo a la capacidad de recursos disponibles para llevar a cabo dichas ampliaciones en su alcance, y se adicionarán nuevas variables como macrofactores y factores al SAR-VUCE, de acuerdo con las condiciones coyunturales del entorno nacional que permitan una adecuada gestión del riesgo y de las operaciones de comercio exterior que estén en el alcance de la VUCE.
Tercera etapa: Se refiere a la gradualidad en la entrada de las entidades participantes de la VUCE con su respectivo SAR. La entrada y permanencia de las entidades al SAR-VUCE la determinará el cumplimiento de los requisitos establecidos en el artículo 7o de condiciones de ingreso.
ARTÍCULO 7o. CONDICIONES DE ENTRADA. Las entidades participantes en la Ventanilla Única de Comercio Exterior (VUCE) que ingresen al Sistema de Administración de Riesgos (SAR)- VUCE, deberán cumplir con los siguientes requisitos:
1. El representante ante el Comité de Gerencia de la VUCE será el responsable de la implementación del Sistema de Administración de Riesgos (SAR)-VUCE en cada entidad vinculada y de gestionar los cambios de normatividad y procedimientos internos.
2. Contar con un Comité, Grupo o Unidad de Riesgos para la estrategia de implementación del SAR-VUCE de la respectiva entidad interesada.
3. El representante ante el Comité de Gerencia de la VUCE de cada entidad deberá presentar solicitud ante la Dirección de Comercio Exterior del Ministerio de Comercio, Industria y Turismo para la implementación del SAR, con el fin de configurar los parámetros de la entidad dentro del sistema, la solicitud deberá venir acompañada con un plan para la implementación del sistema de gestión de riesgos asociado a los trámites de la Ventanilla Única de Comercio Exterior (VUCE) con un horizonte mínimo de 2 años, donde se establezcan las acciones de mejoramiento para llegar al nivel esperado de evaluación de la severidad, impacto y probabilidad de ocurrencia de riesgos, y el nombre del Administrador designado para el sistema.
4. Establecer las calificaciones y ponderaciones de los factores y macrofactores indicados en el Sistema de Administración de Riesgos (SAR)- VUCE, de acuerdo a los perfiles de riesgo de los productos, que por su competencia deban cumplir con requisitos, permisos o autorizaciones previos y con otros elementos que se consideren necesarios. Cada entidad deberá establecer categorías de riesgo para cada variable o factor de riesgo, con base en los diagnósticos realizados y sistemas de indicadores de alerta, considerando los aspectos cualitativos y cuantitativos que midan el desempeño administrativo y la capacidad tecnológica.
Las entidades deben considerar en el análisis de riesgo de las solicitudes evaluadas, la normatividad nacional e internacional vigente, las situaciones de mercado imperantes en cada momento, entre otras variables, con actualización periódica, y podrá fortalecerse en el tiempo de acuerdo a la probabilidad de ocurrencia, impacto o vulnerabilidad asociados.
ARTÍCULO 8o. Implementación del Sistema de Administración de Riesgos (SAR)-VUCE. Será responsabilidad del Comité, Grupo o Unidad de Riesgos de cada entidad llevar a cabo la implementación del SAR-VUCE, la cual se realizará a partir de las prácticas actuales de gestión de riesgo de cada entidad que hace parte de la Ventanilla Única de Comercio Exterior (VUCE).
ARTÍCULO 9o. CONDICIONES DE AUTOEVALUACIÓN DE PERMANENCIA. Cada entidad VUCE participante en el Sistema de Administración de Riesgos, deberá evaluar su cumplimiento con los siguientes compromisos para garantizar una adecuada gestión de riesgo:
1. Mantener las condiciones de entrada.
2. Revisar mínimo trimestralmente los planes de acción y de implementación del sistema, de acuerdo con el avance del SAR-VUCE.
3. Monitorear el tráfico de la red internamente con el fin de optimizar la capacidad de transmisión de datos periódicamente.
4. Hacer seguimiento periódico de los reportes de riesgo de las solicitudes evaluadas que requieren de requisitos, permisos o autorizaciones previos a través de la Ventanilla Única de Comercio Exterior (VUCE), lo cual permitirá priorizar los planes de mejoramiento para mitigar los riesgos inherentes al Sistema de Administración de Riesgos (SAR)-VUCE, e implementar controles.
5. Cumplir con las definiciones de la gradualidad de los ejes del SAR-VUCE.
ARTÍCULO 10. ADMINISTRADORES SAR-VUCE. Cada entidad designará a un funcionario como Administrador del Sistema de Administración de Riesgos (SAR)-VUCE, con la responsabilidad de actualizar la parametrización de criterios de riesgo, con los valores aprobados por el Comité, Grupo o Unidad de Riesgos y crear los usuarios de cada entidad.
ARTÍCULO 11. IMPLEMENTACIÓN EN EL MINISTERIO DE COMERCIO, INDUSTRIA Y TURISMO. El Director de Comercio Exterior, dará los lineamientos para realizar los cambios internos en materia de procedimientos para implementar el Sistema de Administración de Riesgos de la Ventanilla Única de Comercio Exterior (VUCE).
ARTÍCULO 12. COMITÉ DE RIESGOS DE LA DIRECCIÓN DE COMERCIO EXTERIOR DEL MINISTERIO DE COMERCIO, INDUSTRIA Y TURISMO. Créase el Comité de Riesgos de la Dirección de Comercio Exterior, conformado por los siguientes integrantes:
1. El Director de Comercio Exterior
2. El Subdirector de Diseño y Administración de Operaciones y
3. El Coordinador del Grupo de Diseño de Operaciones de Comercio Exterior.
ARTÍCULO 13. ADMINISTRADOR SAR-VUCE DEL MINCOMERCIO. El Director de Comercio Exterior designará a un funcionario como Administrador del Sistema de Administración de Riesgos (SAR)-VUCE, con la responsabilidad de actualizar la parametrización de criterios de riesgo, con los valores aprobados por el Comité de Riesgos de la Dirección de Comercio Exterior y crear los usuarios del Ministerio de Comercio, Industria y Turismo.
ARTÍCULO 14. FUNCIONES DEL COMITÉ DE RIESGOS EN EL MINISTERIO DE COMERCIO, INDUSTRIA Y TURISMO: <Artículo modificado por el artículo 2 de la Resolución 2438 de 2018. El nuevo texto es el siguiente:>
ARTÍCULO 15. CALIFICACIÓN DEL RIESGO EN EL MINISTERIO DE COMERCIO, INDUSTRIA Y TURISMO. <Artículo modificado por el artículo 3 de la Resolución 2438 de 2018. El nuevo texto es el siguiente:> El Comité de Importaciones y los Grupos Internos de Trabajo de la Dirección de Comercio Exterior - Subdirección de Diseño y Administración de Operaciones, dentro de los cinco (5) primeros días hábiles de cada trimestre, deben proponer al Comité de Riesgos nuevas ponderaciones y calificaciones de los factores y macrofactores que les sean requeridos, o ratificar los anteriores para el Sistema de Administración de Riesgos SAR-VUCE, de acuerdo con los perfiles de riesgo de los productos, que por su competencia deban cumplir con requisitos, permisos y autorizaciones previstos en las normas vigentes.
Lo anterior, sin perjuicio de que en el momento que se identifique algún riesgo que afecte las calificaciones y ponderaciones de los factores y macrofactores se haga la propuesta de manera inmediata.
Debe considerarse en el análisis de riesgo de las solicitudes evaluadas, la normatividad nacional e internacional vigente, la operación comercial, diagnósticos realizados y sistemas de indicadores de alerta, considerando los aspectos cualitativos y cuantitativos que midan el desempeño administrativo y la capacidad tecnológica de la organización, pudiendo definir revisiones aleatorias periódicas de las transacciones procesadas de forma automática por el SAR-VUCE y reportes sobre la operación del Sistema de Administración de Riesgos.
En caso de que se presenten modificaciones o desdoblamientos incluidos en el Arancel de Aduanas, el Coordinador del Grupo de Diseño de Operaciones de Comercio Exterior notificará al Asesor Delegado del Comité de Importaciones y a los Coordinadores de los Grupos Internos de Trabajo de la Dirección de Comercio Exterior - Subdirección de Diseño y Administración de Operaciones, para que se proponga una calificación inmediata de tales subpartidas.
ARTÍCULO 16. MONITOREO Y SEGUIMIENTO DEL SISTEMA EN EL MINISTERIO DE COMERCIO, INDUSTRIA Y TURISMO. <Artículo modificado por el artículo 4 de la Resolución 2438 de 2018. El nuevo texto es el siguiente:> En caso que el Asesor Delegado del Comité de Importaciones y los Coordinadores de los Grupos Internos de Trabajo de la Dirección de Comercio Exterior - Subdirección de Diseño y Administración de Operaciones encuentren alguna inconsistencia en el procesamiento de las solicitudes, informarán inmediatamente a la Subdirección de Diseño y Administración de Operaciones.
Adicionalmente, en caso de que estos detecten que se realizó una aprobación de una solicitud sin el cumplimiento de los requisitos, permisos y autorizaciones previstos en las normas vigentes, se notificará a la Dirección de Impuestos Nacionales (DIAN) para que, en el marco de su competencia, haga el control respectivo previo y posterior.
ARTÍCULO 17. CONTROLES. Las entidades que intervienen en la Ventanilla Única de Comercio Exterior-VUCE serán responsables de implementar las medidas de control definidas por su Comité, Grupo o Unidades de Riesgos para minimizar riesgos operativos, y establecerán una metodología de evaluación de resultados que permitan percibir en tiempo real la necesidad de hacer ajustes en las variables de calificación.
Los mecanismos de control como autoevaluaciones aleatorias de las solicitudes de requisitos, permisos o autorizaciones previos, podrán ser definidos de acuerdo a una muestra seleccionada por un método probabilístico o juicio de expertos, de acuerdo a las necesidades de cada entidad.
ARTÍCULO 18. REVISIÓN DE LAS SOLICITUDES TRAMITADAS EN VUCE EN EL MINISTERIO DE COMERCIO, INDUSTRIA Y TURISMO. <Artículo modificado por el artículo 5 de la Resolución 2438 de 2018. El nuevo texto es el siguiente:> El Comité de Importaciones y los Grupos Internos de Trabajo de la Dirección de Comercio Exterior - Subdirección de Diseño y Administración de Operaciones revisarán las solicitudes tramitadas a través de la Ventanilla Única de Comercio Exterior - VUCE y evaluadas por el Sistema de Administración de Riesgos (SAR) que sean calificadas como de alto riesgo, con el fin de mantener un control detallado de las operaciones que puedan tener una afectación en el comercio exterior del país.
ARTÍCULO 19. CONFIDENCIALIDAD DE LA INFORMACIÓN. La información de los parámetros aprobados de ponderación y calificación del riesgo es de carácter confidencial para cada entidad.
ARTÍCULO 20. VIGENCIA. La presente resolución rige a partir de su publicación en el Diario Oficial.
Publíquese y cúmplase.
Dada en Bogotá, D. C., a 13 de octubre de 2015.
La Ministra de Comercio, Industria y Turismo,
CECILIA ÁLVAREZ - CORREA GLEN