RESOLUCIÓN 547 DE 2021
(marzo 19)
Diario Oficial No. 51.625 de 23 de marzo de 2021
DEPARTAMENTO ADMINISTRATIVO PARA LA PROSPERIDAD SOCIAL
Por medio de la cual se ordena un pago de las transferencias monetarias no condicionadas a los hogares beneficiarios del programa Ingreso Solidario, incluida financieramente, correspondiente al ciclo de pagos 12, en cumplimiento de los Decretos 518 de 2020, 812 de 2020 y 1690 de 2020.
LA SECRETARIA GENERAL DEL DEPARTAMENTO ADMINISTRATIVO PARA LA PROSPERIDAD SOCIAL - PROSPERIDAD SOCIAL,
en uso de sus facultades legales, en especial las que le confiere el artículo 1o de la Resolución 01881 del 23 de junio de 2017, la Resolución número 01215 del 6 de julio de 2020, modificada por la Resolución número 01329 de 22 de julio de 2020, las demás normas concordantes, y
CONSIDERANDO:
1. Que mediante el Decreto 417 del 17 de marzo de 2020, se declaró el Estado de Emergencia Económica, Social y Ecológica en todo el territorio nacional por el término de treinta (30) días calendario, con el fin de conjurar la grave calamidad pública que afecta al país por causa del nuevo coronavirus Covid-19.
2. Que en función de dicha declaratoria el Presidente de la República, con la firma de todos sus Ministros, expidió el Decreto Legislativo 518 de 2020 “Por el cual se crea el Programa Ingreso Solidario para atender las necesidades de los hogares en situación de pobreza y vulnerabilidad en todo el territorio nacional, dentro del Estado de Emergencia, Económica, Social y Ecológica” y se dispone que las transferencias monetarias no condicionadas de este programa se harán con cargo a los recursos del Fondo de Mitigación de Emergencias (FOME).
3. Que el Departamento Nacional de Planeación, en cumplimiento de lo dispuesto en el Artículo 1o del Decreto Legislativo 518 de 2020, determinó el listado de los hogares beneficiarios del Programa Ingreso Solidario.
4. Que el inciso 5 del Artículo 1o del Decreto Legislativo 518 de 2020, establece que el Ministerio de Hacienda y Crédito Público determinará el monto de recursos a transferir, la periodicidad de las transferencias y los mecanismos de dispersión, para lo cual podrá definir, en coordinación con otras entidades, los productos financieros y las entidades en las que los beneficiarios recibirán las transferencias monetarias no condicionadas.
5. Que, con base en esta facultad, el Ministerio de Hacienda y Crédito Público expidió la Resolución 975 del 6 de abril de 2020 por medio de la cual se define el monto de los recursos a transferir, la periodicidad de las transferencias y los mecanismos de dispersión del Programa Ingreso Solidario, y se dictan otras disposiciones, posteriormente modificada por las Resoluciones 1022 del 20 de abril, 1117 del 14 de mayo, 1165 del 22 de mayo y 1233 del 10 de junio de 2020.
6. Que de conformidad con el parágrafo 3 del Decreto Legislativo 812 de 2020, el Programa de Ingreso Solidario será administrado y ejecutado por el Departamento Administrativo para la Prosperidad Social, una vez se realicen todos los procedimientos de entrega de la operación de este programa por parte del Ministerio de Hacienda y Crédito Público y del Departamento Nacional de Planeación.
7. Que en cumplimiento de lo dispuesto por el parágrafo 3 del artículo 5o del Decreto 812 de 2020, y según acta de entrega suscrita por el Ministerio de Hacienda y Crédito Público y el Departamento Administrativo para la Prosperidad Social, desde el 4 de julio de 2020 esta Entidad administra y ejecuta el programa Ingreso Solidario.
8. Que mediante la Resolución número 01215 del 6 de julio de 2020, modificada por la Resolución número 01329 de 22 de julio de 2020, se adoptaron las Resoluciones 975 del 6 de abril de 2020, 1022 del 20 de abril de 2020, 1117 del 14 de mayo de 2020 y 1165 del 22 de mayo de 2020 expedidas por el Ministerio de Hacienda y Crédito Público, para la administración y operación del Programa Ingreso Solidario, así como el Manual Operativo del programa vigente a la fecha de expedición de la presente resolución, además de subrogar todas las referencias normativas en las que figura el Ministerio de Hacienda y Crédito Público y/o el Departamento Nacional de Planeación en los que se señalen como administradores, operadores y/o ejecutores del programa Ingreso Solidario, las cuales se entenderán en cabeza del Departamento Administrativo para la Prosperidad Social.
9. Que mediante la Resolución número 01833 de 13 de octubre de 2020 se adoptó el “Protocolo de Operación con Entidades Financieras del Programa de Ingreso Solidario - Beneficiarios Bancarizados (Incluidos Financieramente) versión 2.0”.
10. Que de acuerdo con las consideraciones precedentes y por virtud del Decreto Legislativo 812 de 2020, el Departamento Administrativo para la Prosperidad Social se subrogó en todos los derechos, obligaciones y competencias otorgadas por el Decreto Legislativo 518 de 2020, tanto al Departamento Nacional de Planeación como al Ministerio de Hacienda y Crédito Público, incluyendo la facultad señalada en el artículo 5 del mismo decreto legislativo, referida a la intervención de precios y tarifas correspondientes a los productos y servicios que ofrezcan las entidades financieras, sistemas de pago y operadores móviles, en el marco de las transferencias monetarias no condicionadas del programa Ingreso Solidario.
11. Que para lo anterior y con el propósito de garantizar la continuidad del servicio y la finalidad pública del programa de Ingreso Solidario, el Departamento Administrativo para la Prosperidad Social, mediante la Resolución número 1215 del 6 de julio de 2020 modificada por la Resolución número 01329 de 22 de julio de 2020, adoptó el esquema de operación establecido por el Ministerio de Hacienda y Crédito Público en la Resolución número 975 del 6 de abril de 2020, incluyendo las tarifas a pagar a las entidades financieras por la dispersión de las transferencias monetarias a los beneficiarios del Programa Ingreso Solidario, establecidas en el artículo 4 de dicha resolución, indicando frente a la población beneficiaria del programa que “La tarifa por cada una de las transferencias a los beneficiarios que hagan parte de la población incluida financieramente será de hasta mil pesos ($1.000,) excluida de IVA” según la Resolución 00278 del 15 de febrero de 2021.
12. Que en el artículo 1o de la Resolución número 975 del 6 de abril de 2020, modificado por la Resolución número 1117 del 14 de mayo de 2020, la Resolución número 1165 del 22 de mayo de 2020 y la Resolución número 1233 del 10 de junio de 2020, adoptadas por el Departamento Administrativo para la Prosperidad Social, mediante la Resolución número 1215 del 6 de julio de 2016, modificada por la Resolución número 01329 de 22 de julio de 2020, estableció que el Programa Ingreso Solidario entregará a las personas beneficiarias del programa, identificadas, tres (3) transferencias monetarias no condicionadas, ciento sesenta mil pesos ($160.000) a partir del mes de abril de 2020, con cargo a los recursos del Fondo de Mitigación de Emergencias (FOME).
13. Que con el fin de reglamentar la operación del programa, Prosperidad Social expidió el Decreto 1690 de 17 de diciembre de 2020 mediante el cual se reglamentó el artículo 5o del Decreto Legislativo 812 de 2020 sobre la administración, ejecución y operación del Programa de Protección Social al Adulto Mayor –Colombia Mayor–, el esquema de compensación del impuesto sobre las ventas (IVA), el Programa de Ingreso Solidario y se dictan otras disposiciones, y en el marco de las competencias otorgadas por este decreto expidió la Resolución y 00277 del 15 de febrero de 2021, que modifica el Manual Operativo del Programa Ingreso Solidario.
14. Que el señor Presidente de la República, en el marco de la cuarta (4) sesión de la Mesa de Equidad celebrada el día 23 de junio de 2020, decidió extender la vigencia del programa Ingreso Solidario con seis (6) giros adicionales, los cuales se harán de forma mensual hasta el mes de diciembre de 2020. En virtud de esta decisión del Gobierno nacional el Comité de Administración del Fondo de Mitigación de Emergencias (FOME) en su sesión virtual del 8 de julio de 2020, aprobó financiar con cargo a los recursos del Fondo de Mitigación de Emergencias (FOME) seis (6) giros adicionales del Programa Ingreso Solidario, correspondientes a los meses de julio a diciembre de 2020, autorizando para ello recursos de hasta Dos billones novecientos veintitrés mil quinientos millones de pesos moneda corriente. ($2.923.500.000.000).
15. Que mediante la Resolución número 1481 del 23 de julio de 2020, el Ministerio de Hacienda y Crédito Público hizo una distribución en su presupuesto de gastos de funcionamiento para asignar al presupuesto de gastos de funcionamiento del Departamento Administrativo para la Prosperidad Social un total de dos billones novecientos cuatro mil ochocientos sesenta y cinco mil millones seiscientos seis mil ochocientos pesos moneda corriente. ($2.904.865.606.800), provenientes del Fondo de Mitigación de Emergencias (FOME).
16. Que El Comité de Administración del Fondo de Mitigación de Emergencias (FOME), en sus sesiones virtuales del 28 de octubre y 20 de noviembre de 2020, aprobó financiar con cargo a los recursos del FOME seis (6) giros del programa Ingreso Solidario para la vigencia 2021, para 3.084.987 hogares beneficiarios del programa y, adicionalmente, en sesión virtual del 5 de febrero de 2021 aprobó la solicitud de recursos para el pago de los costos financieros correspondientes a los seis pagos del programa autorizados.
17. Que mediante Resolución 0381 de 10 de febrero de 2021 del Ministerio de Hacienda y Crédito Público hizo una distribución en su presupuesto de gastos de funcionamiento para asignar al presupuesto de gastos de funcionamiento del Departamento Administrativo para la Prosperidad Social un total de dos billones novecientos ochenta y cinco mil setecientos noventa y nueve millones doscientos treinta y cuatro mil doscientos treinta y cuatro pesos moneda corriente ($2.985.799.234.200), provenientes del Fondo de Mitigación de Emergencias (FOME).
18. Que el 23 de febrero de 2021 el director del Departamento Nacional de Planeación a través de Memorando 20215300121671 certificó a Prosperidad Social a 982 hogares de Providencia afectados por el huracán lota que de acuerdo con las verificaciones adelantadas por el DNP cumplen con las condiciones de pobreza y vulnerabilidad económica necesarios para ingresar al Programa Ingreso Solidario establecidas en el Decreto Legislativo 518 de 2020. Así mismo, estos 982 hogares fueron integrados por el Departamento Nacional de Planeación en la Base Maestra de potenciales beneficiarios de Ingreso Solidario. Recibida esta información por parte del DNP, el GIT Focalización de Prosperidad Social realizó la validación de la información de los hogares y validó que 532 de ellos cumplen con las condiciones para ser beneficiarios del Programa Ingreso Solidario.
19. Que el Departamento Administrativo para la Prosperidad Social, desde la recepción del programa ha venido adelantando varios ejercicios técnicos de depuración y organización de la base de datos de los potenciales hogares beneficiarios del programa, todos previos a cada ciclo de pagos, tal y como constan en los documentos técnicos que ha radicado la Subdirección General de Programas y Proyectos a la Directora General del Departamento Administrativo para la Prosperidad Social.
20. Que el documento técnico, radicado por el Subdirector General de Programas y Proyectos Encargado a la Directora General del Departamento Administrativo para la Prosperidad Social con el número M-2021-4000-009044 del 19 de marzo de 2021, relaciona el proceso de depuración, cruces y conciliaciones producto de los pagos décimo y undécimo a la población incluida financieramente para poder determinar el listado de hogares beneficiarios del programa que están habilitados para recibir los subsidios del programa de qué trata la presente resolución.
21. Que, como producto del ejercicio de tratamiento a la base de datos, descrito por el Subdirector General de Programas y Proyectos Encargado, fueron habilitados 2.343.198 hogares bancarizados beneficiarios para el pago 12 del programa Ingreso Solidario.
22. Que, una vez realizados los procesos de depuración y cruce de la base de datos del programa Ingreso Solidario que describe el documento técnico y, de acuerdo con el “Protocolo de Operación con Entidades Financieras del Programa de Ingreso Solidario - Beneficiarios Bancarizados (Incluidos Financieramente) versión 2.0”, el día 19 de marzo de 2021 hasta las 11:00 am, en el correo gestioningresosolidario@prosperidadsocial.gov.co se recibieron 22 cuentas de cobro, que incluyen a 2.330.491 hogares beneficiarios los que actualmente cuentan con productos financieros activos y aptos para recibir el subsidio.
23. Que las cuentas de cobro y los demás documentos que soportan la ordenación del presente pago, se discriminan por carpetas de acuerdo a cada entidad financiera, en el siguiente enlace: https://dpsco-my.sharepoint.com/:f:/g/personal/ jonatan_vargasprosperidadsocial_gov_co1/EgNM3VBpEAZJiba0mQcynpMBAX8VW5b-XrXfSdCIIHRblA?e=RZeRke
24. Que con este insumo, la Directora General, a través de memorando con radicado número M-2021- 1000-009051 del 19 de marzo de 2021, solicitó a esta Secretaría General dar cumplimiento a lo estipulado en los Decretos Legislativos 518 y 812 de 2020, y la Resolución número 975 del 6 de abril de 2020 del Ministerio de Hacienda y Crédito Público “ por medio de la cual se define el monto de los recursos a transferir, la periodicidad de las transferencias y los mecanismos de dispersión del Programa Ingreso Solidario, y se dictan otras disposiciones”, posteriormente modificada por las Resoluciones número 1022 del 20 de abril, número 1117 del 14 de mayo, número 1165 del 22 de mayo y número 1233 del 10 de junio de 2020, adoptadas por el Departamento Administrativo para la Prosperidad Social mediante la Resolución número 01215 del 6 de julio de 2020, modificada por la Resolución número 01329 de 22 de julio de 2020 y la Resolución 00278 del 15 de febrero de 2021, y en consecuencia ordenar el pago de los recursos del programa Ingreso Solidario a favor de las personas relacionadas en el citado documento técnico, radicado con el número M-2021-4000-009044 del 19 de marzo de 2021, en las cuantías y entidades financieras que dicho documento indica. Esta operación debe realizarse con cargo a los recursos del Fondo de Mitigación de Emergencias (FOME), amparados en el certificado de disponibilidad presupuestal número 14021 del 15 de febrero de 2021.
25. Que el Decreto 518 de 2020 estableció en su artículo 4o que los costos operativos requeridos para la entrega de las transferencias monetarias no condicionadas se asumirán con cargo a los recursos del Fondo de Mitigación de Emergencias (FOME).
26. Que el producto del ejercicio de dispersión de recursos que se ordena en la presente resolución, a las entidades financieras se les deberá pagar hasta $1.000 pesos por cada transacción efectivamente realizadas, en la cuenta CUD del Banco de la República que se relacionan en las cuentas de cobro entregadas al Departamento Administrativo para la Prosperidad Social, previo cumplimiento de lo establecido en el “Protocolo de Operación con Entidades Financieras del Programa de Ingreso Solidario - Beneficiarios Bancarizados (Incluidos Financieramente) versión 2.0”.
27. Que la Secretaria General del Departamento Administrativo para la Prosperidad Social está facultada mediante la Resolución número 01881 del 23 de junio de 2017 para ser la ordenadora del gasto de los recursos del presupuesto de gastos de funcionamiento del Departamento Administrativo para la Prosperidad Social con base en los cuales se financia el Programa Ingreso Solidario.
28. Que, en mérito de lo expuesto, la Secretaria General de Prosperidad Social,
RESUELVE:
ARTÍCULO 1o. <Artículo modificado por el artículo 1 de la Resolución 563 de 2021. El nuevo texto es el siguiente:> Dar cumplimiento a lo estipulado en el Decreto Legislativo 518 de 2020 y la Resolución número 975 del 6 de abril de 2020 del Ministerio de Hacienda y Crédito Público “por medio de la cual se define el monto de los recursos a transferir, la periodicidad de las transferencias y los mecanismos de dispersión del Programa Ingreso Solidario, y se dictan otras disposiciones”, posteriormente modificada por las Resoluciones número 1022 del 20 de abril, número 1117 del 14 de mayo, número 1165 del 22 de mayo y número 1233 del 10 de junio de 2020, adoptadas por el Departamento Administrativo para la Prosperidad Social mediante la Resolución número 01215 del 6 de julio de 2020 modificada por la Resolución número 01329 de 22 de julio de 2020, y en consecuencia ordenar el pago de los recursos del Programa Ingreso Solidario a favor de las personas en situación de pobreza y vulnerabilidad que han sido relacionadas por el Subdirector General de Programas y Proyectos Encargado, mediante documento técnico radicado M-2021-4000-009044 del 19 de marzo de 2021, agrupados en la cuantía correspondiente a $373.012.640.000 (trescientos setenta y tres mil doce millones seiscientos cuarenta mil pesos) y entidades financieras que se indican en la siguiente tabla, con cargo a los recursos del Fondo de Mitigación de Emergencias (FOME), amparados en el certificado de disponibilidad presupuestal número 14021 del 15 de febrero de 2021.

PARÁGRAFO 1o. Los recursos serán consignados en la cuenta de depósito (CUD) del Banco de la República que la entidad financiera indicó de acuerdo con la anterior tabla.
PARÁGRAFO 2o. De conformidad con los documentos presentados por Movii S.A., el desembolso de los recursos asignados a esta deberá hacerse a la cuenta de depósito (CUD) en el Banco de la República del Banco AV Villas S.A. De conformidad con los documentos presentados por T PAGA S.A.S., el desembolso de los recursos asignados a ésta deberá hacerse a la cuenta de depósito (CUD) en el Banco de la República del Banco Coopcentral.
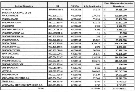
ARTÍCULO 2o. Con el fin de dar cumplimiento a lo establecido en el artículo 4o del Decreto Legislativo 518 de 2020 y el artículo 4o de la Resolución 975 del 6 de abril de 2020, adoptada por el Departamento Administrativo para la Prosperidad Social mediante la Resolución número 01215 del 6 de julio de 2020, posteriormente modificada por la Resolución número 01329 de 22 de julio de 2020, el valor máximo de la comisión reconocida a las entidades financieras por las transferencias realizadas a los beneficiarios incluidos financieramente del Programa Ingreso Solidario de los que trata esta Resolución, según lo establecido en el artículo 3o de la Resolución 975 del 6 de abril de 2020 modificada por la Resolución 00278 del 15 de febrero de 2021, será el siguiente:

PARÁGRAFO 1o. El valor máximo de la comisión a reconocer a las entidades financieras por las transferencias realizadas, de acuerdo con la anterior tabla, se hará con cargo al certificado de disponibilidad presupuestal número 14121 del 15 de febrero de 2021, cuyo objeto es “Servicios Financieros Programa Ingreso Solidario - Solicitud 000400521001”.
PARÁGRAFO 2o. El valor a pagar a la entidad financiera por concepto de costos operativos dependerá del número final de transferencias exitosas a favor de los beneficiarios del Programa Ingreso Solidario, según lo acredite el Revisor Fiscal de cada entidad, en los términos del Manual Operativo del Programa Ingreso Solidario y el “Protocolo de Operación con Entidades Financieras del Programa de Ingreso Solidario - Beneficiarios Bancarizados (Incluidos Financieramente) versión 2.0” y será consignado en la misma cuenta CUD que se indica en el artículo 1o de la presente resolución. Por lo anterior, el Registro Presupuestal que se expida para amparar la presente Resolución podrá ser posteriormente modificado de acuerdo con la información que acredite el respectivo Revisor Fiscal de cada entidad financiera.
ARTÍCULO 3o. En concordancia con el artículo 3o de la Resolución 975 del 6 de abril de 2020, modificado por el artículo 2o de la Resolución 1165 del 22 de mayo de 2020, expedidas por el Ministerio de Hacienda y Crédito Público, adoptadas por el Departamento Administrativo para la Prosperidad Social mediante la Resolución número 1215 del 6 de julio de 2020, modificada por la Resolución número 1329 de 22 de julio de 2020, las entidades financieras deberán expedir una certificación suscrita por su Revisor Fiscal en donde acrediten, una vez realizada la respectiva dispersión de recursos, el valor total abonado a los beneficiarios del programa. Los recursos que no puedan ser efectivamente dispersados a los beneficiarios finales del Programa Ingreso Solidario, deberán ser reintegrados por las entidades financieras a la Dirección General de Crédito Público y Tesoro Nacional, en la cuenta indicada por el “Protocolo de Operación con Entidades Financieras del Programa de Ingreso Solidario - Beneficiarios Bancarizados (Incluidos Financieramente) versión 2.0”, dentro de los tres (3) días hábiles siguientes a la fecha en que la Dirección General de Crédito Público y Tesoro Nacional haya consignado el valor de las transferencias monetarias no condicionadas que ordena el artículo 1 de la presente resolución, en la cuenta CUD del Banco de la República que las entidades financieras han indicado.
ARTÍCULO 4o. Una vez se trasladen los recursos del Programa Ingreso Solidario y se efectúe el pago de la remuneración a las entidades financieras, los saldos del compromiso que aquí se asume, que no sean ejecutados, podrán liberarse.
ARTÍCULO 5o. VIGENCIA. La presente resolución rige a partir de la fecha de su expedición.
Publíquese, comuníquese y cúmplase.
Dada en Bogotá, D. C., a 19 de marzo de 2021.
Tatiana Buelvas Ramos.